2025年(令和7年)1月から変わること・終わること・始まること

最近セミナー前に流している
AIで作った曲が人気です!
イーンスパイアの横田です。
https://www.enspire.co.jp

リラックスのひととき2/横田秀珠
https://suno.com/song/ab02609b-55b9-4fad-8691-3c9eb07a0f41
ぜひ聞いてみてくださいね。
さて、本題です。
2014年4月に消費税増税に伴いまして
「変わること」という記事を書いてきました。
毎月初めに「今月から変わること」という
テーマで更新していますので、お楽しみに。
では、今月から変わることを紹介します。
楽天トラベルの宿泊数・登録施設数の推移
楽天トラベルの宿泊数について定点観測しています。
https://www.youtube.com/watch?v=b9aKK2X9e9Q
過去の履歴は以下の記事で随時更新中。
https://yokotashurin.com/etc/rakuten-shop.html
楽天トラベル最新の口コミ
https://travel.rakuten.co.jp/review/
楽天トラベル登録宿泊施設数
https://travel.rakuten.co.jp/whatsnew.html
2024年(令和6年)から1月から変わること・起こること
今月から変わることでライブ配信しました。
https://www.youtube.com/watch?v=vCwTrbvei4Y
2024年12月末で終わったことに加えて
2025年1月から変わること、起こること
詳しくは15分の動画でも解説しました。
https://www.youtube.com/watch?v=QVzE9krd9bI
00:00 – オープニング
01:08 – YouTubeメンバーシップの案内
02:16 – 楽天トラベルのデータ分析
05:42 – 2024年末で終了したこと
06:50 – 2025年問題
09:07 – 103万円の壁と社会保険の変化
09:51 – NTTの新サービス
10:56 – その他の重要なニュース
13:18 – 今後のイベント案内
上記の動画はYouTubeメンバーシップのみ
公開しています。詳しくは以下をご覧ください。
https://yokotashurin.com/youtube/membership.html
YouTubeメンバーシップ申込こちら↓
https://www.youtube.com/channel/UCXHCC1WbbF3jPnL1JdRWWNA/join
では、動画で解説した内容などを
まとめて以下で紹介していきます。
値上げニュースまとめ
https://www.jiji.com/jc/v7?id=202111neage
国内で販売されている主要商品の価格推移
https://toyokeizai.net/sp/visual/tko/dashboard/consumer-price/
2025年(令和7年)から変わること・起こること
2024年1月から変更することを色々と挙げてみました。
以下のリンクを押すと該当月から変わることへ飛べます。
1月 2月 3月 4月 5月 6月 7月 8月 9月 10月 11月 12月 2026年〜
2025年問題、2025年の壁とは?
https://kabu.com/kabuyomu/life/1092.html
「団塊の世代」が全員75歳以上(後期高齢者)となることで、人口の約5人に1人が後期高齢者になることから生じる様々な問題を示しています。団塊の世代は、日本における第一次ベビーブームのさなかに生まれた世代であり、2024年現在の人口構成比でみても最もボリュームの多い世代です(約800万人)。2025年問題では、医療や介護の需要が急増し、社会保障費の増大が予想されるため、経済全体に大きな影響を与えるとされています。特に金融の観点から見ると、高齢化に伴う消費の減少や労働力不足が経済成長を鈍化させる可能性があり、これに対する対策が急務となっています。
2025年には、「106万円の壁」が「70万円の壁」へと大幅に引き下げられる可能性が言及されています。税金に関する年収の壁は、住民税が発生する「100万円の壁」と、所得税が発生する「103万円の壁」の2つです。
https://edenred.jp/article/workstyle-reform/173/
2025年〜、NTTのIOWN(超低遅延&大容量&低消費電力インターネット)の第2弾IOWN2.0の商用サービスが開始
https://dime.jp/genre/1520554/
2025年から、ニュージーランド、多国籍企業へのデジタルサービス課税計画
https://jp.reuters.com/article/newzealand-digitaltax-idJPKBN3040CB
ニュージーランド(NZ)政府は29日、2025年から多国籍企業にデジタルサービス税を課すことを盛り込んだ法案を31日に提出する方針を示した。世界的な適用に向けた経済協力開発機構(OECD)での協議が合意に達しなかったことを受けた。
Google、Chromeでサードパーティークッキーの24年内廃止を延期
https://www.nikkei.com/article/DGXZQOGN242790U4A420C2000000/
2025年(令和7年)から1月から変わること
2025年1月〜、値上げのニュース
https://prtimes.jp/main/html/rd/p/000000993.000043465.html
食品の値上げニュース多数
https://www.nhk.or.jp/shutoken/articles/101/017/42/
https://www3.nhk.or.jp/news/html/20241226/k10014679341000.html
2025年1月〜、介護事業者の経営情報の報告の義務化を開始
https://smbiz.asahi.com/article/15393543
2025年1月1日、労働安全衛生規則が施行
https://revision.sato-portal.com/202501-4/
・労働者死傷病報告における報告事項報告事項の整理及び電子申請の義務化、その他の労働安全衛生法令に基づく各種報告の電子申請義務化 等
・その他所要の改正と、経過措置を設けることとする。
2025年1月1日、厚生年金保険法施行規則が施行
https://revision.sato-portal.com/202501-3/
3歳に満たない子を養育する被保険者等の標準報酬月額の特例申出について、使用される事業所による確認を受けた場合には当該子と申出者との身分関係を明らかにすることができる証明書等や戸籍長抄本の添付を不要とする。
2025年1月〜、実施する大学入学試験では、一次試験(大学入学共通テスト)で「情報」を受験する必要がある。
https://www.itmedia.co.jp/news/articles/2201/28/news157.html
2025年1月〜、電気工事士試験は学科免除の対象試験を拡大へ
https://smbiz.asahi.com/article/15558668
電気工事士試験(第一種、第二種)に2024年度上期学科試験合格者から学科試験が免除される試験の範囲が拡大されます。電気工事士法施行令の一部改正が2024年12月21日に閣議決定されました。2025年1月1日から施行されました。
2025年1月〜、株式譲渡益に対する税率が最大27.5%まで引き上げられるミニマムタックスという制度がスタート
https://mabp.co.jp/magazine/17475/
本特例は年間所得金額約30億円以上または金融所得約10億円以上の富裕層に追加課税を求める制度です。
2025年1月6日、ノジマがVAIOを買収
https://japan.cnet.com/article/35225971/
2025年1月6日、総務省は電波利用ホームページや電子申請・届出システムなど電波利用に関わる電子申請・届出システムをリニューアル
https://smbiz.asahi.com/article/15579858
2025年1月7日、KADOKAWAとソニーが戦略的な資本業務提携に合意
https://www.musicman.co.jp/business/649704
ソニーが約10%の株式を保有する筆頭株主に
2025年1月14日、Metaは、サードパーティ向けARエフェクト構築プラットフォーム「Meta Spark」終了
https://www.itmedia.co.jp/news/articles/2408/28/news117.html
Meta Sparkは、2019年に立ち上げたInstagramの「ストーリーズ」で使うARカメラエフェクトを誰でも制作・公開できるツールとして提供されてきた。作成されたARエフェクトは、Instagramだけでなく、Facebookなど他のMetaのサービスでも利用可能だ。Metaによると、作成されたARTエフェクトは、何億人ものユーザーに何十億回も使われているという。
2025年1月16日〜、168円から17円以下の部分は補助率30%から補助率0%へ
https://nenryo-gekihenkanwa.go.jp/
その後、状況を丁寧に見定めながら、168円から17円を超える分に対する補助率を段階的に見直す。
2025年1月19日、大阪メトロ中央線のコスモスクエア~夢洲(ゆめしま)間(3.2キロメートル)が開業
https://news.ntv.co.jp/category/society/84cd62e668304d8a8d3c3e9084e8d8dd
2025年1月20日、米大統領就任式、「アメリカ・ファースト」を掲げるトランプ政権が発足
https://www3.nhk.or.jp/news/special/international_news_navi/us-election/schedule/
2025年1月23日、スターバックスは紙ストローを順次廃止へ
https://japan.cnet.com/article/35227004/
スターバックス コーヒー ジャパンは12月6日、これまでの紙ストローに代わる新しい生分解性プラスチック製ストローを導入すると発表した。2025年1月23日から沖縄県内の全32店舗で先行導入し、2025年3月以降に全国展開する。
2020年から環境保護のために導入していましたが、2025年1月で提供を終了。導入当初は環境に配慮した取り組みとして注目されましたが、「すぐにふやけるのがストレスだった」「紙の味がコーヒーに移るのが嫌だった」「環境には良いけど、飲み物の味が変わるのは困る」といった不満の声も多く、結果として植物由来のバイオマスプラスチック製ストローへの移行が決定した格好です。
2025年1月31日、NTT東日本は「フレッツ光」を提供していない地域でも「フレッツ・ADSL」のサービスを終了
https://www.itmedia.co.jp/news/articles/2304/21/news176.html
2025年1月31日、東京中日スポーツ、紙印刷休止 電子版に全面移行
https://www.oricon.co.jp/news/2352748/full/
2025年1月31日、産経新聞社は「夕刊フジ」を休刊
https://www3.nhk.or.jp/news/html/20241001/k10014597761000.html
2025年1月31日、JR東海のドクターイエローT4編成が検査走行を終了
https://news.ntv.co.jp/category/society/84cd62e668304d8a8d3c3e9084e8d8dd
2025年(令和7年)から2月から変わること
2025年2月1日〜、崎陽軒(横浜市)は名物「シウマイ」や弁当類など計113品目を値上げ
https://www.nikkei.com/article/DGXZQOCC252OC0V21C24A2000000/
シウマイ弁当は950円から120円値上げして1070円とする。コメやホタテ、国産豚肉などの原材料価格と人手不足による人件費の上昇が理由という。
2025年2月1日〜、ニップンの商品を値上げ
https://news.nissyoku.co.jp/news/kubo20241129030620173
家庭用小麦粉(中力粉・薄力粉)を約2~3%、家庭用ミックスを約2~3%、家庭用パスタとパスタソースを約2~11%、それぞれ引き上げる。一方、家庭用小麦粉(強力粉)は約1%値下げする。
2025年2月1日〜、特定建設業許可を要する下請代金額の下限は、4500万円(建築工事業の場合は7000万円)から5000万円(建築工事業の場合は8000万円)に引き上げ
https://smbiz.asahi.com/article/15541813
特定建設業許可の金額要件が見直されます。これまで、特定建設業許可を要する下請代金額の下限は、4500万円(建築工事業の場合は7000万円)でしたが、2025年2月1日から5000万円(建築工事業の場合は8000万円)に引き上げられます。合わせて、施工体制台帳等の作成を要する下請代金額、専任の監理技術者等を要する請負代金額の下限や、特定専門工事の対象となる下請代金額の上限も引き上げられます。
2025年2月1日〜、産経新聞社が運営するニュースサイト「zakzak」をリニューアル
https://media-innovation.jp/article/2025/01/30/142158.html
「zakzak」は「夕刊フジ」の休刊に伴って2月1日から更新を停止すると発表されていましたが、これを撤回し、新たな一歩を踏み出すことになります。「夕刊フジ」の公式サイトである「zakzak」は、これまで幅広いジャンルのニュースを扱ってきましたが、リニューアル後は新コンセプトとして「芸能・エンタメ分野」に特化する方針です。
2025年2月2日、2021年以来の節分の日で、その前に2月2日は1897年になる
https://www.benricho.org/koyomi/setsubun_get/
節分の日付は一般には2月3日であるが常にそうではなく、1984年までは4年に1度の閏年の節分は2月4日だった。また、1985年から2020年までは毎年2月3日だった。2021年から2057年までは閏年の翌年の節分は2月2日になる。
2025年2月17日、2025年提出(令和6年分)の確定申告が開始(2025年3月17日で終了)
https://biz.moneyforward.com/tax_return/basic/43836/
2025年2月23日、ドイツでおよそ20年ぶりとなる解散総選挙が実施
https://www.jetro.go.jp/biznews/2024/12/ab157914da36a78c.html
2025年2月28日、ドコモ、電子書籍サービス「ひかりTVブック」終了
https://ascii.jp/elem/000/004/228/4228027/
ひかりTVブックは2012年にスタート。幅広いジャンルから110万冊以上の電子書籍を扱っている。
2025年2月28日、「新宿アルタ」の営業終了 「笑っていいとも!」公開収録で有名に
https://www.itmedia.co.jp/news/articles/2403/22/news154.html
三越伊勢丹ホールディングスは、東京・新宿駅東口駅前にある商業施設「新宿アルタ」の営業を2025年2月28日で終了すると発表した。「原宿アルタ」の2025年2月28日に閉店を発表しており、都内2店目の営業終了となる。
2025年2月28日、「原宿アルタ」の営業終了、「アルタ」は池袋のみ存続
https://www.wwdjapan.com/articles/1782602
2015年3月7日に地上3階、地下1階、営業面積1450㎡でオープン。竹下通りを訪れる10代をターゲットにしていた。親会社の三越伊勢丹ホールディングスは、アルタ2館の閉館に関して「単独での収益改善や全社で推進している顧客の識別化が難しかった」とコメントした。
2025年2月末、ソニーはBlu-ray DiscやMDを生産終了
https://pc.watch.impress.co.jp/docs/news/1656771.html
生産が終了するのは、Blu-ray Discメディア、録音用MD、記録用MDデータ、ミニDVカセット。すべてのモデルが対象となる。なお、後継機種は用意されない。
ソニーは1992年に発売開始して日本の音楽シーンで一世風靡したMD(ミニディスク)の生産を終了した。 「次世代オーディオ機器」として1990年代に一時代を築いたが、サブスクなどデジタル音楽の普及により需要が減少した結果となる。
2025年2月28日、ユニクロの日本公式Facebookページの運用を終了へ。Xは継続
https://pc.watch.impress.co.jp/docs/news/1666484.html
2010年の開設以来、14年あまりにわたる運用を終了する。終了の理由は明らかにしていない。告知の投稿では同社のオンラインストアやアプリ、Instagram、LINE、Tiktok、Xでの情報発信を案内している。なお、日本以外のアカウントについては終了する旨を伝える内容の投稿はされていない。
2025年(令和7年)から3月から変わること
2025年3月〜、食品の値上げは2343品目、前年から3倍超の多さ
https://www.tdb.co.jp/report/economic/neage_202503/
2025年3月1日〜、日清食品チルド、2025年3月1日納品分からチルド麺製品の価格を引き上げ
https://www.nissin.com/jp/news/13076
2025年3月1日、「大麻取締法及び麻薬及び向精神薬取締法の一部を改正する法律」一部施行
https://www.mhlw.go.jp/stf/newpage_43079.html
2025年3月1日、Google Maps Platform、月200ドルの一律無償利用枠を廃止。料金体系が大幅改定
https://internet.watch.impress.co.jp/docs/column/chizu3/1660301.html
2025年3月1日〜、短縮URL大手「bit.ly」無料プランには「広告ページ」を導入を発表
https://0115765.com/archives/115351視聴者が Bitly リンクまたは QR コードを操作すると、リンク先の URL に誘導される前にプレビュー ページが表示される場合があります。このページにはリンク先に関する情報が含まれており、広告が含まれる場合もあります。」
具体的な施行日時や広告の詳細については明らかにされていないが、特に企業で短縮URLを利用している場合はアップグレードやセフルホストなどの対応を検討する必要がある。
2025年3月1日〜、読売新聞社が国内に上場する333銘柄で構成する「読売株価指数(読売333)」を創設
https://www.yomiuri.co.jp/economy/20241128-OYT1T50003/
2025年3月、リクルートは旅行情報誌『じゃらん』および『じゃらんムックシリーズ』を休刊
https://www.recruit.co.jp/newsroom/pressrelease/2024/1008_14786.html
35年間にわたり続けた雑誌が終了する。
2025年3月まで、ヤマト運輸と日本郵便の協業、「ネコポス」はJPへ全配送業務を委託
https://netshop.impress.co.jp/node/11306
2025年3月まで、KDDI、スマホとスターリンクを直接通信し商用化
https://www.nikkei.com/article/DGXZQOUC190KT0Z11C24A2000000/
2025年3月5日、WindowsでAndroidアプリを利用できる機能を終了
https://k-tai.watch.impress.co.jp/docs/news/1574110.html
マイクロソフトは、Windows 11の「Windows Subsystem for Android」(WSA)を2025年3月5日で終了する。Windows上でAndroidアプリを利用できなくなる。
2025年3月15日、毎年恒例のJR各社のダイヤ改正
https://news.ntv.co.jp/category/society/84cd62e668304d8a8d3c3e9084e8d8dd
JR東日本が導入を進めてきた中央線快速のグリーン車がいよいよサービス開始となります。グリーン車が連結されるのは、中央線快速の東京駅から山梨県の大月駅までと、中央線快速が直通する青梅線青梅駅までの間です。
2025年3月15日、万博アクセスルートとして、JR西日本は新大阪と桜島を直通で結ぶ「エキスポライナー」を用意
https://news.mynavi.jp/article/20241208-jrwestparadetrain/
桜島駅から会場へはバスに乗り換え。このルートには大阪環状線・桜島線で活躍する323系を改造した「JR WEST Parade Train」を投入。万博の終了する2025年10月13日まで運行される。
2025年3月15日、JR北海道は根室線の「東滝川」「東根室」、宗谷線の「雄信内」「南幌延」「抜海」の5駅を3月15日のダイヤ改正を機に廃止
https://news.ntv.co.jp/category/society/84cd62e668304d8a8d3c3e9084e8d8dd
東根室駅は「日本最東端の駅」として知られていましたが、終着の根室駅に、その座を譲ります。宗谷線の3駅は最北の鉄路の「秘境駅」として地元自治体が費用を負担して維持されていましたが、負担の継続を断念し、廃止となります。
2025年3月15日、山陽新幹線・東海道新幹線 「のぞみ」3号車は自由席から指定席へ
https://www.fnn.jp/articles/-/842743
2025年3月17日、2025年提出(令和6年分)の確定申告を終了(2025年2月17日から開始)
https://biz.moneyforward.com/tax_return/basic/43836/
2025年3月24日、JR西日本広島駅の新駅ビル「ミナモア」が開業予定。
https://news.ntv.co.jp/category/society/84cd62e668304d8a8d3c3e9084e8d8dd
ここで注目したいのは、駅ビルの2階に「路面電車」が乗り入れることです(2025年夏頃予定)。
2025年3月24日、マイナンバーカードと運転免許証が一体化した「マイナ免許証」が運用開始
https://www3.nhk.or.jp/news/html/20240912/k10014579351000.html
2025年3月24日〜、旅券(パスポート)の変更
https://www.mofa.go.jp/mofaj/ca/pss/pageit_000001_01390.html
(1) 2025年3月24日の申請受理分から、偽造・変造対策を大幅に強化した「2025年旅券」の発給を開始予定です。国際民間航空機関(ICAO)の勧告等を踏まえた対応によるものです。
・現行では申請者から申請を受理した都道府県旅券事務所等で旅券を作成・交付していますが、2025年旅券は国立印刷局で集中的に作成し、都道府県等に配送のうえ、申請者に交付いたします。
・顔写真ページがプラスチック基材となり、レーザーで印字・印画します。
(2)国立印刷局から配送するため、日本国内では申請から交付まで2週間程度、国外(大使館・総領事館)では2週間~1か月程度必要になります。海外旅行を計画したら旅券の申請もお早めにお願いいたします(目安は旅行の1か月前までに申請)。なお、現在お持ちのパスポートは有効期間までご使用できます。
2025年3月27日、高輪駅と直結したツインタワーが開業
https://news.ntv.co.jp/category/society/84cd62e668304d8a8d3c3e9084e8d8dd
2025年3月27日、「まちびらき」として一部先行開業する。 JR東日本が品川車両基地跡地で手掛ける、国内最大級のまちづくりプロジェクト。 まちびらき時には高輪ゲートウェイ駅直結のツインタワー「THE LINKPILLAR 1(ザ リンクピラー ワン」がオープンし、同駅が全面開業する。
2025年3月31日、「ドコモ光ミニ」のサービスを終了(2023年3月31日に新着受付を終了)
https://www.docomo.ne.jp/info/news_release/2022/12/05_00.html
2025年3月31日、小説投稿サイト「魔法のiらんど」を終了し「カクヨム」に統合
https://www.itmedia.co.jp/news/articles/2409/26/news156.html
KADOKAWAは9月26日、小説投稿サイト「魔法のiらんど」について、単独サービスとしては終了し、Web小説サイト「カクヨム」と合併すると発表した。魔法のiらんどは2025年3月31日をもって終了し、カクヨム内の1ジャンルとして運営を続ける。
2025年3月31日、文化放送ネットラジオ「超!A&G+」がサービス終了へ
https://www.itmedia.co.jp/news/articles/2501/21/news142.html
2025年3月31日、「スラド」と「OSDN」は結局終了へ ~サービス終了予定は3月31日
https://forest.watch.impress.co.jp/docs/serial/yajiuma/1670651.html
2025年3月末、ベルーナ、ファッションECモール「RyuRyumall」終了
https://ryuryumall.jp/d/feature/371/
2019年6月にサービス開始から約6年間で終了に至ることになる。終了の要因として「広告宣伝費と手数料収入のバランスが悪く赤字体質になっていた」(経営企画室)と説明する。
2025年3月31日、「ぷらら」でホームページを公開するサービスが終了
https://www.docomo.ne.jp/info/notice/page/240627_01.html
2025年3月31日、高年齢者雇用安定法の経過措置が終了
https://keiyaku-watch.jp/media/hourei/2025-houkaisei/
2025年3月31日、日本生命の「ずっともっとサービス」終了
https://www.nissay.co.jp/keiyaku/zuttomotto/close/
2025年3月末、Yahoo!の検索エンジン技術契約、Googleから変更?
https://www.nikkei.com/article/DGXZQOUA2526D0V20C23A5000000/
日本経済新聞は2023年7月1日19:00、特報として、ヤフーが米国のグーグルとの検索エンジンサービス提供契約の更新を見直していることが明らかになったと報じた。現行の契約は2025年3月末に満了し、ヤフーは契約の更新を判断する前に、社内で「バケットテスト」と称される技術テストを実施している。Zホールディングスは今年10月に、ヤフーとLINEを合併させ、「LINEヤフー」として事業を展開する予定である。同社の大株主は、韓国のインターネット企業ネイバーで、韓国の検索市場において60%以上のシェアを持っている。ネイバーは、生成AIを活用した検索技術の開発を急ピッチで進め、日本市場への拡大を目指している。ヤフーがグーグルからネイバーへ検索エンジン技術の提供元を切り替えるかどうかは、グループ内の経営・技術資源の効率化や新しいAI技術の活用が重要な要因となるとみられる。今後の契約更新や技術提携の動向に注目が集まる。
2025年3月末、クレジットカードの「自筆サインで本人確認」で原則廃止
https://japan.cnet.com/article/35228543/
以降はPIN(暗証番号)の入力が原則となる。今回の仕様変更で影響が出る例の1つが、高級レストランなどでのテーブル会計だ。クレジットカードを伝票ホルダーに挟んでウェイターに渡し、最後にサインで本人確認するといった取引は今後できない。そのため、店舗は店員がテーブルまで持ち運べる決済端末を導入することが求められる。なお、「1万円未満の取引では暗証番号は不要」といった「PINレス」取引と、今回の「PINバイパス」は異なる。「PINレス」は今後も引き続き利用できる。
2025年3月31日、天気予報サービス 「177」のサービス終了
https://www.jma-net.go.jp/common/177jmh/telephon.html
2025年3月31日、森永「ビエネッタ」の販売終了へ
https://nordot.app/1261520108549407025
1983年9月の発売から40年以上販売していた。
2025年3月31日、「goo of things サービス」終了
https://help.goo.ne.jp/help/article/2831/
2025年3月31日、「idraft by goo」サービス終了
https://help.goo.ne.jp/help/article/2842/
2025年3月31日、「gooラボ」終了
https://help.goo.ne.jp/help/article/2852/
2025年3月31日、「Welcome!スタンプ」提供終了
https://help.goo.ne.jp/help/article/2858/
2025年3月31日、「緑のgoo」企業パートナープログラム 終了
https://help.goo.ne.jp/help/article/2861/
2025年3月31日、「goo検索」リニューアル
https://help.goo.ne.jp/help/article/2863/
2025年3月31日、総務省は2024年のキャッシュレス決済比率は42.8%で政府目標の4割を達成
https://www.meti.go.jp/press/2024/03/20250331005/20250331005.html
2024年のキャッシュレス決済比率は堅調に上昇し、42.8%(141.0兆円)となりました。その分子の内訳は、クレジットカードが82.9%(116.9兆円)、デビットカードが3.1%(4.4兆円)、電子マネーが4.4%(6.2兆円)、コード決済が9.6%(13.5兆円)でした。
2025年(令和7年)から4月から変わること
2025年4月1日〜、「国立健康危機管理研究機構(日本版CDC)」を設立する政令を決定
https://www3.nhk.or.jp/news/html/20250404/k10014769881000.html
感染症の調査・分析から臨床対応までを一貫して担い、ワクチンや治療薬の開発も支援する。トップとなる理事長選びは、機構が中立性を保って国民の信頼を得るうえでカギになる。
新機構は病原体の分析を担う国立感染症研究所と、感染症患者を受け入れる病院を運営する国立国際医療研究センター(NCGM)が統合して発足する。略称はJIHS(ジース)。23年の通常国会で関連法が成立しており、米疾病対策センター(CDC)にならって「日本版CDC」と呼ばれてきた。国立健康危機管理研究機構の國土典宏理事長は、「新型コロナの経験によって、有事への備えがいかに重要かが突きつけられた。日常的に情報収集して分析やリスク評価を行い、機動的な医療体制を構築していきたい」と話していました。
2025年4月1日〜、情報流通プラットフォーム対処法(情プラ法)が施行
https://dxpo.jp/college/back/info-platform-law.html
インターネット上における誹謗中傷被害を防止するため、これまでの「プロバイダ責任制限法」が一部改正され、「情報流通プラットフォーム対処法」に改められ、SNSや匿名掲示板などの大規模プラットフォームを運営する事業者に対する新規制が設けられました。引用 https://news.yahoo.co.jp/pages/20250401
2024年4月1日〜、食料供給困難事態対策法が施行予定
https://www.maff.go.jp/j/zyukyu/anpo/horitsu.html
2025年4月1日〜、英検、31年ぶりに級を新設 準2級と2級の間に準2級プラスを導入
https://digital.asahi.com/articles/ASRB33HJMRB3UTIL003.html
2025年4月〜、食品や日用品など値上げ
https://column.finance.ponta.jp/archives/501/日本企業の値上げ情報
企業名 対象品目 値上率 大王製紙 ティシュー、トイレットペーパー、キッチンタオル、ペーパータオル 他家庭用・業務用紙製品 全品 10%以上 王子ネピア ティシュ、トイレットロールなど家庭紙製品 全品 10%以上 カミ商事株式会社 ティシュー、トイレットロール、キッチンタオル他、家庭紙製品全品 10%以上 アサヒビール ビール類や酎ハイなど酒類226品目 5~8% サントリー ビール類缶酎ハイや国産ワイン、ノンアルコール飲料など208品目 4~11% キリンビール ビール類や缶酎ハイなどアルコール飲料(RTD、レディー・トゥー・ドリンク)、たる詰め商品、ノンアルコール飲料。全216品目 5~12% サッポロビール ビールに加えて、缶酎ハイ「濃いめのレモンサワー」などのアルコール飲料、たる詰め商品やノンアルコール飲料など。全208品目 3~9% ケンコーマヨネーズ マヨネーズ・ドレッシング類、ソース類、タマゴ加工品、ロングライフサラダ類、和惣菜、その他計約1,200品目 約3~45% 森永乳業 牛乳類、ヨーグルト、デザート、ホイップ、家庭用バター、家庭用チーズ 計47品目 2.5~9.1% プリマハム ハム・ソーセージ、加工食品の家庭用・業務用商品 計約200品目 2.0%~26.8% 日清食品 即席カップライス製品(完全メシシリーズ除く) 約11%
2025年4月〜、建築基準法と建築物省エネ法が改正され、省エネ基準適合が義務付け
https://smbiz.asahi.com/article/15252284
2025年4月1日、子の養育又は家族の介護を行い、又は行うこととなる労働者の職業生活と家庭生活との両立が図られるようにするために事業主が講ずべき措置等に関する指針が施行
https://revision.sato-portal.com/202504-9/
家族の介護に直面した労働者に対する個別の周知・雇用環境の整備、3歳になるまでの子を養育する労働者のための所定労働時間の短縮、当該労働者へのプライバシーの配慮等を規定引用 https://news.yahoo.co.jp/pages/20250401
2025年4月1日、雇用保険法施行規則
https://revision.sato-portal.com/202504-6/
高年齢雇用継続給付の逓減給付率の修正、教育訓練給付関係の様式の改正
2025年4月1日、次世代育成支援対策推進法施行規則
https://revision.sato-portal.com/202504-11/
一般事業主行動計画の策定・変更の仕組みの見直し、くるみん認定、トライくるみん認定及びプラチナくるみん認定の認定基準の見直し 等
2025年4月1日、労働安全衛生規則
https://revision.sato-portal.com/202504-5/
安衛法第20 条、第 21 条及び第 25 条に基づく立入禁止や退避等の「危険性」に係る関係省令について、所要の改正を行う。
2025年4月1日、育児・介護休業法が改正され、男女ともに仕事と育児・介護を両立できる環境を整えるための施策が段階的に施行されます。
https://news.yahoo.co.jp/pages/20250401
2025年4月1日、障害者の雇用の促進等に関する法律施行令(段階施行3/3)
https://revision.sato-portal.com/202504-2/
障害者雇用調整金の算定のための単位調整額を、現行の2万7千円から2万9千円に引き上げ
2025年4月1日、厚生年金保険法施行規則
https://revision.sato-portal.com/2025-2/
高年齢雇用継続給付と老齢厚生年金の併給調整に係る調整率の逓減率を改定する
2025年4月1日、給付制限が教育訓練(リスキリング)を受けると解除へ
https://revision.sato-portal.com/202504-13/
雇用保険の被保険者が自己の都合によって退職した場合、基本手当の受給資格決定日から7日間の待期期間満了後1~3ヵ月間は基本手当が支給されません。厚生労働省によると、2025年4月以降は、給付制限が短縮されるだけでなく、リスキリングのために教育訓練等を受ける場合は給付制限が解除され、7日間の待期期間を過ぎると、基本手当を受給できるようになりました。
2025年4月1日、育児休業、介護休業等育児又は家族介護を行う労働者の福祉に関する法律
https://revision.sato-portal.com/202504-7/
残業免除の対象となる労働者の範囲の拡大、育児休業の対象の拡大 等
2025年4月1日、育児休業給付金の延長手続きが厳格化
https://www.mhlw.go.jp/stf/seisakunitsuite/bunya/0000160564_00040.html
2025年4月1日、雇用保険法施行規則
https://revision.sato-portal.com/202504-10/
新たに創設される「出生後休業支援給付金」及び「育児時短就業給付金」の支給要件及び申請手続きの規定
2025年4月1日、福祉・介護職員等処遇改善加算への完全移行
https://www.mhlw.go.jp/content/001223662.pdf
2025年4月1日、貨物軽運送の「安全管理者」選任義務化
https://www.mlit.go.jp/report/press/jidosha02_hh_000665.html
2025年4月1日、職業紹介事業者の紹介手数料率の実績公開義務化
https://www.mhlw.go.jp/stf/seisakunitsuite/bunya/koyou_roudou/koyou/haken-shoukai/r0604anteisokukaisei1_00002.html
2025年4月1日、労働保険の保険料の徴収等に関する法律
https://revision.sato-portal.com/202504-13-2/
雇用保険の育児休業給付に係る保険料率を0.4%→0.5%に引き上げつつ、保険財政状況に応じて0.5%→0.4%に引き下げることを可能とする 等引用 https://news.yahoo.co.jp/pages/20250401
2025年4月〜、車検更新、2ヵ月前からに緩和 国土交通省が改正
https://news.yahoo.co.jp/pages/20250401
2025年4月1日、車の保管場所標章(車庫証明シール)が廃止
https://smbiz.asahi.com/article/15493749保管場所標章(車庫証明シール)とは、車庫証明を発行したときに交付された自動車であることを示すシールです。政府は、自動車の保管場所の確保等に関する法律(車庫法)の改正により、車庫証明シールの廃止期日を2025年4月1日とすることを閣議で決めました。
引用 https://www.npa.go.jp/laws/kokkai/20240305-02/05_sankousiryou.pdf
2025年4月〜、公益法人制度を改正 3つの改正ポイント 資金活用を柔軟化
https://smbiz.asahi.com/article/15282573
2025年4月1日〜、札幌、中京、読売テレビ、福岡放送の日テレ系4社が経営統合へ
https://www.asahi.com/articles/ASSCY2HVDSCYUCVL02TM.html
2025年4月1日、新京成電鉄は京成電鉄に吸収合併され、新京成線は京成「松戸線」と改名
https://news.ntv.co.jp/category/society/84cd62e668304d8a8d3c3e9084e8d8dd
新京成電鉄は京成津田沼と松戸間(26.5キロメートル)を結ぶ鉄道として、京成グループにありながら、親会社の京成電鉄とは独立した鉄道会社として80年近く運営されてきました。しかし、「経営の効率化・意思決定の迅速化を図ることで経営資源の最適かつ効率的な活用と競争力の強化を進める」(両社リリースより)として、4月1日付で新京成電鉄は京成電鉄に吸収合併され、新京成線は京成「松戸線」と名を改めます。ただ、独立した運賃体系は維持されるため、松戸線内と従来の京成線内の行き来には、京成津田沼駅を境に、それぞれの運賃を合算することになります。今後、デザインなども変更される予定とのことで、車両や駅名標などのデザインが京成仕様になるのか注目されます。
2025年4月1日、大阪府の泉北高速鉄道が南海電鉄に吸収合併
https://news.ntv.co.jp/category/society/84cd62e668304d8a8d3c3e9084e8d8dd泉北高速鉄道線は、もともと大阪南部で開発を進めていた泉北ニュータウンと大阪都心部を結ぶ鉄道ルートとして1971年に開業。同時に南海高野線経由で、なんばへの乗り入れをスタートしました。2014年には南海電鉄の子会社となり、現在の社名「泉北高速鉄道」になりましたが、こちらも4月1日に南海電鉄に統合されます。泉北高速鉄道線中百舌鳥~和泉中央間(14.3キロメートル)の路線名は南海「泉北線」になります。
東京湾アクアライン、2025年4月からの新料金 時間帯別料金の幅拡大
https://smbiz.asahi.com/article/15536395
東京湾アクアラインは2025年4月1日から新料金となります。ポイントは、ETC搭載車を対象にした料金変動制(ダイナミックプライシング)について、上り線の時間帯別料金の幅を拡大したうえで、下り線も新たに時間帯別料金を導入します。
楽天モバイル、利用実態があっても1年以内の解約で手数料 4月以降契約分から
https://k-tai.watch.impress.co.jp/docs/news/1668557.html
楽天モバイルは、4月1日から解約事務手数料の請求方針を変更する。4月1日以降に回線を契約し、1年以内に解約または契約解除したユーザーに対して、最大1078円の解約事務手数料が発生する。
2025年4月8日〜、Amazon Prime Videoに広告が開始。広告表示なしオプションは月額390円(税込)から
https://x.com/enspire_co_jp/status/1894620612091633753
2025年4月8日、暗号資産取引所Bybitは、NFT関連サービスの提供を終了
https://nft-media.net/marketplace/bybit-nft-marketplace-close/74577/
Web3プロダクトの見直しとユーザー体験の向上を目的として終了となる。該当サービスは以下の3つです。
- Bybit NFT Marketplace(NFTマーケットプレイス)
- Inscription Marketplace(インスクリプション・マーケットプレイス)
- IDO(分散型トークン販売)プロダクトページ
2025年4月13日〜、大阪府夢洲で「大阪・関西万博」が開幕(2025年10月13日まで)
https://www.expo2025.or.jp/overview/
2025年4月22日、メルペイ、メルカリの売上金やポイントを使ってギフトがおくれる「メルカリギフト」を提供開始
https://jp.merpay.com/news/2025/04/20250422_mercarigift/
株式会社メルペイ(以下、メルペイ)は、株式会社ギフティと連携し、メルカリの売上金(メルペイ残高)やポイントなどを使ってギフトを購入して贈ることができる「メルカリギフト」を2025年4月22日より提供開始します。
2025年4月23日、LINE Pay、日本でのサービス終了
https://www.itmedia.co.jp/news/articles/2406/13/news155.html
25年4月末に 決済サービスはPayPayに一本化
2025年(令和7年)から5月から変わること
2025年5月〜、値上げのニュース多数
https://tsuhan-ec.jp/article/2025/04/30/1109.html
https://www.nhk.or.jp/shutoken/articles/101/023/02/
2025年5月〜、iPhoneにマイナンバーカード機能搭載か?
https://www.watch.impress.co.jp/docs/news/1595929.html
2025年5月〜、松井証券がクレジットカード積立サービスを開始予定
https://www.matsui.co.jp/news/2024/detail_1024_01.html
2025年5月5日、Skype終了のおしらせ。Microsoftは「Teams」への移行を推奨
https://www.gizmodo.jp/2025/02/rip-skype.html
Skypeは2003年に“無料IP電話サービス”として立ち上げられ、2005年に米eBayが26億ドルで買収。その時点のユーザー数は5400万人だった。eBayの下で一時期はユーザー数を4億人以上に増やしたが、リーマンショック後にeBayがSkypeを手放すと発表し、最終的にMicrosoftが2011年に85億ドルで買収した。(その翌年の2012年にZoomが誕生している。)Microsoftは2013年にはSkypeをWindowsの標準搭載アプリとし、メッセージングサービス「Windows Live Messenger」や「Lync」をSkypeに統合していった。Skypeと平行して、Microsoftは2016年、当時台頭してきた「Slack」に対抗するため、チャットベースのワークスペースとしてMicrosoft Teamsを導入し、2018年に無料でも提供を開始した。Microsoft TeamsのMAU(月間アクティブユーザー数)は、2024年第1四半期時点で3億2000万人と発表されている。Skype終了の公式ブログでは、「過去2年間で、Teamsのコンシューマーユーザーが会議に費やした時間は4倍に増加した」としている。MicrosoftはSkypeの現在のユーザー数については言及していない。2023年にSkypeに「Bing」を搭載すると発表した際、Skypeのユーザー数を3600万人としていた。
2025年5月5日、Outlookもメール認証(SPF・DKIM・DMARC)が義務化へ
https://primoposto.co.jp/blog/outlook-spf-dkim-dmarc-2025-requirement/
2025年5月5日(月)より、1日に5,000通以上のメールを送信するドメインに対して、SPF・DKIM・DMARCの3つのメール認証設定が義務化され、未対応の送信元は迷惑メールフォルダ送り、将来的には完全拒否される可能性もあります。
2025年5月15日までに流通業務総合効率化法・貨物自動車運送事業法を改正
https://smbiz.asahi.com/article/15345687
「2024年問題」による物流停滞への懸念や、軽トラック運送業における死亡・重傷事故の増加に対処するため、流通業務総合効率化法・貨物自動車運送事業法改正によって新たな規制が設けられました。
2025年5月17日までに重要経済安保情報保護法が施行
https://keiyaku-watch.jp/media/hourei/2025-houkaisei/
「セキュリティ・クリアランス制度」とは、政府が保有する安全保障上重要な情報として指定された情報にアクセスする必要がある者に対し、その者の信頼性を調査・確認した上でアクセスを認める制度です。
2025年5月21日、小型荷物の「こねこ便」全国で開始 ヤマト運輸、一律420円で配送
https://www.sankei.com/article/20250509-FKFQWYYRMNLCRL2RTZ2JQ2G6AA/
ヤマト運輸は小型の荷物を全国一律420円で配送する「こねこ便420」を、沖縄県を除く全国で開始した。最短で翌日に郵便受けに届ける。フリーマーケットサイトなどの個人利用や、法人のサンプルなど小型荷物の取り込みを図る。昨年8月から東京都で開始していた。A4サイズ相当の封筒の形をした専用資材を事前に買い、厚さ3センチ以内の荷物を入れて送る。資材は営業所に加え、宅配ドライバーやインターネットサイトから購入できる。料金は資材料を含む。沖縄県への配送は可能。
2025年5月22日、「PlayStation Stars」のメンバー新規の登録は終了
https://www.itmedia.co.jp/news/articles/2505/22/news186.html
ソニー・インタラクティブエンタテインメント(SIE)は、ユーザー向けロイヤリティプログラム「PlayStation Stars」をサービス終了すると発表した。サービスは段階的に縮小し、2026年11月2日に終了する。5月22日をもってメンバー新規の登録は終了。既存メンバーも7月24日以降はリワードやステータス特典の獲得ができなくなる。2026年11月2日には完全にサービスを終了する。
2025年5月26日、戸籍振り仮名法制化が施行
https://www.atena.co.jp/column/5
2025年5月26日に新たに戸籍に氏名の振り仮名を記載する制度が開始される予定です。現在、出生届には氏名の振り仮名が記載されていますが、戸籍には記載されていない為、管理が困難な状況にあります。今後、行政事務のデジタル化を推進するにあたって、事務処理の負担を軽減し、管理を容易にすることが狙いです。また、マイナンバーカードの海外利用においてローマ字表記が必要になることも考慮して、今回の法改正となりました。
2025年5月31日、マルチチェーン対応NFTマーケットプレイス「tofuNFT」サービス終了
https://www.coindeskjapan.com/292344/
ofuNFTは2021年のサービス開始以来、30以上のEVM互換ブロックチェーンに対応し、特に2021年のGameFi(ゲームファイ)ブーム時には、そのマルチチェーン対応の強みを活かしてNFT市場の拡大に貢献してきた。
2025年(令和7年)から6月から変わること
2025年6月1日、刑法が改正され懲役と禁錮を拘禁刑に一本化が施行
https://keiyaku-watch.jp/media/hourei/2025-houkaisei/
従来の刑法では、受刑者を刑事施設(刑務所など)に収監する刑罰としては「懲役」と「禁錮」の2種類が定められていました。懲役は刑務作業を義務付けるのに対して、禁錮は刑務作業が任意であるという違いがあります。しかし、刑事施設における実際に状況に鑑み、懲役と禁錮の差がなくなっていることや、受刑者の特性に応じた更生プログラムを実施して再犯予防を図るべきことなどが指摘されていました。そこで改正刑法により、従来の懲役と禁錮が「拘禁刑(こうきんけい)」に一本化されます。拘禁刑については、刑務作業の有無や更生プログラムの内容が個別に決定され、受刑者の特性に応じた処遇がなされることが予定されています。
https://x.com/enspire_co_jp/status/1931150705240518887/photo/1
2025年6月1日〜、労働安全衛生規則改正で職場での適切な熱中症対策が義務付け(罰則付き)
https://www.webjapan.co.jp/blog/ai-camera/heatstroke-mandatory/
2025年6月1日以降、熱中症のおそれのある作業、具体的には「WBGT28度以上又は気温31度以上の環境下で連続1時間以上又は1日4時間以上の実施」が見込まれる作業を対象として、事業主に対し、具体的な熱中症対策を講じることが義務付けられます。事業者が講じるべき熱中症対策は、大きく分けて「報告体制の整備」、「実施手順の作成」、「関係者への周知」の3点です。https://x.com/enspire_co_jp/status/1931150308396376561/photo/1
2025年6月1日〜、2024年度に実施されていた定額減税が5月で終了し住民税が上がる
https://spaceshipearth.jp/juuminzei-rokugatu/
2025年6月1日、食品用器具・容器包装のポジティブリスト制度が施行
https://www.mhlw.go.jp/stf/newpage_36419.html
2025年6月2日、NTTドコモ、「ドコモU18割」を6月2日に新規受付を終了
https://www.docomo.ne.jp/info/news_release/2025/04/25_00.html
2025年6月、コード決済の「AEON Pay」が電子マネーの「WAON」と統合
https://xtech.nikkei.com/atcl/nxt/news/24/02231/
イオンフィナンシャルサービスは2025年6月をめどに、コード決済「AEON Pay(イオンペイ)」と電子マネー「WAON(ワオン)」を統合する。AEON PayとWAONを統合したスマートフォンアプリによって実現する。累計発行枚数が1億枚を超えるWAONの会員をAEON Payに取り込むことで、2026年2月末までをめどにAEON Payの会員数を2000万人に引き上げ、先行するPayPayなどを追う。
2025年6月2日、ゆうちょ銀行は振替小切手帳の交付などの料金値上げ
https://www.jp-bank.japanpost.jp/news/2024/news_id002089.html
2025年6月2日、KyashはQUICPay+™(クイックペイ)の新規申込および利用終了
https://www.kyash.co/information/20250602
2025年8月31日(日)18時をもちまして、すでにお申込済みのQUICPay+™もご利用いただけなくなります。
2025年6月2日、Visit Japan Webの代理入力機能終了
https://services.digital.go.jp/visit-japan-web/
デジタル庁が提供する入国手続きオンラインサービス「Visit Japan Web」において、代理入力機能のサービスが2025年6月2日をもって終了しました 。この機能は、第三者が入国者の情報を代理で入力できるものでしたが、終了により、今後は原則として入国者本人が直接情報を入力する必要が生じます。これは、セキュリティ強化や、個人情報管理の厳格化を目的とした変更である可能性があります。
2025年6月4日、Billboard JAPANが総合ソングチャート<JAPAN Hot 100>および総合アルバムチャート<Hot Albums>にリカレントルールを導入
https://www.billboard-japan.com/d_news/detail/150020/2今回導入するリカレントルールでは、日本独自のマーケットバランスを考慮し、対象曲のストリーミングポイントを一定の割合で減算する。<Hot 100>においての対象は通算52週チャートインした楽曲、<Hot Albums>は通算26週チャートインした楽曲を対象とする。Billboard JAPANでは、今後もマーケットの動向を注視しながら、必要に応じて減算率などのバランス調整を行う予定だ。
https://www.youtube.com/watch?v=6gGiG_SdMbo
2025年6月10日、LINEヤフー、オンライン診療「LINEドクター」終了
https://www.businessinsider.jp/post-298312
LINEドクターは、新型コロナウイルスの流行下だった2020年12月に、オンライン診療需要の高まりから当初計画を前倒しする形でスタート。2022年12月には処方薬の配送サービスもスタートし、2023年10月には登録薬局以外でも処方薬を受け取れる機能を追加するなど、LINEヘルスケア設立当初にうたっていた「最適な医療の実現、病気や様々な症状に悩む患者様のプラットフォームとして医療業界の課題解決に資する様々なサービスの提供」を体現しようとしてきた。ただ、LINEヤフー広報によると2023年1月31日にLINEヘルスケアは共同出資体制からLINEヤフー(当時はLINE)の100%子会社へと移行。エムスリーとの関係が切れた。今回のLINEドクターのサービス終了を踏まえると、巨人同士のタッグは、不発に終わったと言えるだろう。LINEヘルスケア社は全事業が消滅する。
2025年6月17日〜、「電脳コネクト」によりUberアプリが 愛媛・香川・徳島に初進出、四国全県で利用可能に
https://prtimes.jp/main/html/rd/p/000000134.000053640.html
2025年6月18日、「gooニュース」サービス終了
https://help.goo.ne.jp/help/article/2867/
2025年6月中旬、楽天トラベルHPで登録宿泊施設数と宿泊数と口コミ数の表示が消滅
https://yokotashurin.com/etc/rakuten-shop.html
2025年6月24日〜、iPhoneのマイナンバーカードへの実装を開始
https://services.digital.go.jp/mynumbercard-iphone/news/79897b6ef9f29d5b27a3d/
今回発表されたiPhoneのマイナンバーカードでは、大きく分けて2つの機能が用意される。1つめが「電子証明書機能」。電子証明書機能では、マイナンバーカード内蔵のICチップに格納されている「署名用電子証明書」と「利用者証明用電子証明書」と同等に利用できる電子証明書を、iPhoneに格納して利用できるようになる。
それも、iPhone搭載の生体認証機能である顔認証「Face ID」や指紋認証「Touch ID」を活用することで、パスワード入力不要で利用できる。
iPhoneのマイナンバーカードに搭載される電子証明書機能では、マイナポータルにログインして薬や医療費、年金記録の確認や引越し手続きなどを行ったり、コンビニのマルチコピー機で住民票の写しや印鑑証明書など各種証明書を発行するコンビニ交付サービスの利用を、マイナンバーカードを使わずiPhoneだけで利用可能となる。
もう1つの機能が「属性証明機能」。簡単に言うと「券面記載情報を利用した本人確認機能」だ。マイナンバーカードの券面に記載されている氏名や生年月日、住所などの「券面記載情報」を相手方に送信して本人であることを証明する機能で、まずはiPhoneのマイナンバーカードにのみ搭載される。具体的には、iPhoneのマイナンバーカードに格納されているマイナンバーカードの券面記載情報を、デジタル庁が提供しているスマホ用アプリ「マイナンバーカード対面確認アプリ」のiOS版で読み取って本人確認が可能になる。こちらは2025年7月中の対応を予定している。
この属性証明機能は、当初はiPhoneのマイナンバーカードのみの実装となり、Androidスマホでは利用できない。ただ、開始時期は未定ながら、同等の機能のAndroidスマホへの搭載も早期の実現に向けてGoogleと連携して作業に取り組んでいるところだという。
2025年6月25日、「goo辞書」のサービスを終了
https://help.goo.ne.jp/help/article/2889/
1999年にポータルサイト初の辞書サービスとしてスタートし、国語辞書、英和辞書、和英辞書、類語辞書、四字熟語、漢字なや、多種多様な専門用語集を配信してきた。
2025年6月27日、デジタル庁は「マイナポータル」の「年金」ページで「ねんきん定期便」情報の表示に対応
https://www.watch.impress.co.jp/docs/news/2026400.html
6月24日には「iPhoneのマイナンバーカード」がスタート。対象機種のiPhoneを設定すれば、マイナンバーカードの本体なしで、スマホとFace ID/Touch IDだけでマイナポータルにアクセスできるようになっている。
2025年6月30日、画像生成AI「mimic(ミミック)」 のサービスを終了
https://www.sponichi.co.jp/society/news/2025/04/15/kiji/20250415s00042000213000c.html
2022年8月のベータ版リリースから約2年8カ月で幕を閉じることへ。mimicはイラストなどの描き手の画風をAIが学習し、その特徴を捉えたイラストを自動で作成するAIサービス。「日々創作活動をされているすべてのクリエイターの創作活動を支援し、クリエイターの相棒となるAIサービスを目指しています」としている。2022年8月29日にベータ版がリリースされたものの、SNSを中心に贋作や盗作などの悪用の可能性があるとの指摘が相次ぎ、これを受け、翌30日にサービスを一時停止していた。
2025年6月30日、Yahoo!ドメインのサービスが終了
https://notice.yahoo.co.jp/domains/archives/20240708.html
2002年のサービス開始以来、22年間にわたりサービスを提供。
2025年6月30日、FC2WEBのサービスを終了
http://www.fc2web.com/FC2WEB のシステムは20年以上稼働を続けており、システムやサーバーの老朽化が進んでいるため、保守が困難な状況です。そのため、開発・保守が継続されている「 FC2ホームページ 」へ運営を一本化する運びとなりました。引き続き無料ホームページスペースをご希望のお客様は、後継サービス「FC2ホームページ 」をご利用ください。FC2ホームページへの移行については、「こちら」のFC2ホームページヘルプをご確認ください。
2025年6月30日、PCとスマホ間で写真など共有できる「Intel Unison」アプリが終了
https://pc.watch.impress.co.jp/docs/news/2004271.html
Intelは、PCとスマートフォンとの連携機能を実現する「Intel Unison」について、まもなくサービスを終了すると明らかにした。Microsoft Store上のIntel Unisonアプリのページで告知されたもの。同社の説明によれば、Intel Unisonはまもなく終了し、それに向けて2025年6月末にほとんどのプラットフォームでサービスを終了するとしている。なお、LenovoのAuraプラットフォームについては2025年は引き続き利用できるという。
Intel Unisonは、2022年9月に発表されたノートPC向けツール。Intel EvoブランドのPCで利用でき、PCからスマートフォンのSMSや電話を利用する、デバイス間でファイルを共有するといった連携機能を実現する。
2025年6月30日、音楽業界公式の転売サービス「チケトレ」を終了
https://www.itmedia.co.jp/news/articles/2502/17/news166.html
チケトレは2017年6月に開始。日本音楽制作者連盟、日本音楽事業者協会、コンサートプロモーターズ協会公認のチケットリセールサービスで、購入済みチケットを定価で売買できる。高額転売対策として評価する声もある一方、出品・購入手数料がチケット価格の10%以上に加え、別途決済手数料などがかかる場合もあり「手数料が高すぎる」といった声も上がっていた。
2025年6月30日、ソニーグループは東京大学やJAXAと共同で推進してきた宇宙プロジェクト「STAR SPHERE」の活動を休止
https://www.itmedia.co.jp/news/articles/2505/30/news132.html
プロジェクトで開発した公式アプリ「EYEコネクト」は引き続き利用可能。EYEが撮影した美しい地球の写真や、過去のEYEの軌道シミュレーションなどを閲覧できる。STAR SPHEREは、「宇宙をすべての人にとって身近なものに」するビジョンを掲げ、2020年にプロジェクト立ち上げ。23年にソニーのカメラを搭載した超小型衛星「EYE」を打ち上げ、24年には一般参加者がEYEに指示を送って宇宙から地球を撮影する「宇宙撮影体験」を実施した。
2025年6月30日、AI音楽配信可能な国内サービス「sprayer」終了のお知らせ https://sprayer.notion.site/1e73363f309880a7a59ee4653cb2948b
2023年8月の正式リリース以降、音楽活動をする皆様の一助となれればと思い、スタッフ一同で取り組んでまいりましたが、今後の運営体制や市場の変化を踏まえ、誠に勝手ながら本サービスを終了させていただく運びとなりました。
2025年6月末、和歌山県白浜町の「アドベンチャーワールド」は、飼育している良浜(ラウヒン)、結浜(ユイヒン)、彩浜(サイヒン)、楓浜(フウヒン)の4頭のジャイアントパンダを、すべて中国に返却へ
https://www.gizmodo.jp/2025/04/pandas-in-wakayama-to-be-returned_animals-that-may-not-be-seen-in-japan.html4頭はいずれも雌。雄が不在だったため繁殖も難しかったようです。これから新たに来日がなければ、日本国内で飼育されるジャイアントパンダは上野動物園の2頭だけになってしまいます。
2025年6月下旬、BIGLOBEニュースのサービス終了
https://otakuma.net/archives/2025040305.html
2025年6月下旬、BIGLOBEサーチのサービス終了
2025年6月下旬、BIGLOBE天気予報のサービス終了
https://otakuma.net/archives/2025040305.html
2025年6月下旬、NTTドコモは自社の絵文字サービスの提供を終了
https://japan.cnet.com/article/35233241/
ドコモケータイやAndroid製品(Galaxy以外)については、6月下旬以降に発売する機種から、ドコモ絵文字が利用できなくなる。以降はGoogleが提供する絵文字を利用できる。一方、Galaxy製品については、2025年7月以降に発売する機種から、ドコモ絵文字が利用できなくなる。以降はサムスンが提供する絵文字を利用できる。
2025年6月下旬以前に発売された機種は、継続してドコモ絵文字を利用できる。ただし例外もあり、2025年10月以降のソフトウエアアップデートによって、ドコモ絵文字を利用できなくなる機種もあるという。該当機種は後日案内される。ドコモ絵文字は、1999年にNTTドコモがiモードコンテンツとともに開発。携帯電話のメールの中でのテキストメッセージだけのやりとりから、感情を表現したメッセージが楽しめるサービスとしてスタートした。
2025年6月30日、モバイルゲーム「メビウス・コード」のサービス終了
https://gamebiz.jp/news/408488
サイバードと関西テレビが共同提供していたモバイルゲーム「メビウス・コード」が、2025年6月30日16時をもってサービス提供を終了しました 。2024年10月29日のリリースから約8ヶ月という短期間での終了となり、有償ダイヤの払い戻しを受け付けています 。
2025年6月30日、リクルート運営の「お店のミカタ」がサービスを終了
https://omisenomikata.jp/
『お店のミカタ』はリクルートが2010年7月より開始した、街の店舗向けの販促支援サイトです。どんな業種の店舗でもご利用頂けます。
2025年6月30日、LINEヤフー、法人向けサービスの共通のログインIDとして「ビジネスID」の提供を開始
https://www.lycbiz.com/jp/news/other/20250630/LINEヤフー株式会社(以下、LINEヤフー)は、法人向けサービスのログインIDとして提供している「LINEビジネスID」と「Yahoo! JAPANビジネスID」を統合するために、「LINEビジネスID」を「ビジネスID」に名称変更し、新たな共通のログインIDとして提供を開始しました。「Yahoo! JAPANビジネスID」でログインしていた法人向けサービスに「ビジネスID」でログインするためには、今後企業側で統合作業を行う必要があります。
2025年(令和7年)から7月から変わること
2025年7月〜、食品の値上げ、2105品目 前年比5倍に大幅増加
https://www.tdb.co.jp/report/economic/20250630_neage/
ミツカン(味ぽんなど)、エスビー食品(カレールウなど)、味の素AGF(インスタントコーヒーなど)、日清製粉ウェルナ(パスタなど)、ロッテ(菓子)、亀田製菓(柿の種)、越後製菓(パックご飯)、東ハト(菓子)などhttps://allabout.co.jp/gm/gc/511725/
https://web.kaipoke.jp/magazines/89
https://neage.hateblo.jp/entry/2025/04/14/155800
2025年7月〜、2025年9月まで「電気・ガス料金支援」の補助金が再開
https://enechange.jp/articles/electricity-subsidy
2025年3月末で終了した電気・ガス料金の補助金が、物価高騰対策および夏の酷暑対策として、2025年7月から9月までの3か月間、再開されます。この補助金は「電気・ガス料金支援」と名称が変更され、一般家庭や企業を対象に、電気とガスの使用量に応じて自動的に料金が値引きされる仕組みです。例えば、一般家庭で月260kWhの電気を利用した場合、7月・9月は月520円、8月は月624円が補助される計算となります 2 。この措置は、エネルギー価格の高騰が続く中で、家計や企業の負担を軽減し、経済活動を支援することを目的としています。特に夏季の電力需要増加を見越した再開は、国民生活の安定に直結する重要な政策と評価できます。
電気代・ガス代の負担軽減策「電気・ガス料金支援」の補助を受けるための申請は必要ありません。契約中の電力会社・ガス会社が、同事業の申請手続きを行い、採択されていれば、自動的に月の電気代・ガス代から補助金額分だけ値引きされます。https://enechange.jp/articles/electricity-subsidy
2025年7月1日、NTT株式会社は正式社名を「日本電信電話」から変更
https://www.nikkei.com/article/DGXZQOUC23A2U0T21C24A2000000/
2025年は民営化から丸40年の節目を迎え、光技術を使った次世代通信基盤「IOWN(アイオン)」の国内外への本格展開も控える。ブランド力や知名度を高め、グローバル化に弾みをつける。島田明社長が日本経済新聞のインタビューに対し、25年4月に新社名を固め、翌5月に公表する計画を示した。
2025年7月1日、JR東日本グループは新たなグループ経営ビジョン「勇翔2034」を始動
https://www.jreast.co.jp/press/2025/20250701_ho03.pdf
2025年7月1日、モバイルゲーム「RUN GODZILLA」のサービス終了
https://dengekionline.com/article/202506/45897スマートフォン向け放置ゲーム「RUN GODZILLA(ラン ゴジラ)」が、2025年7月1日12時をもってサービスを終了します 。このゲームは、ゴジラを育ててレースで勝利を目指すユニークなコンセプトで知られていました 。サービス開始から約4年での終了となります。
2025年7月〜、dポイントクラブの「ポイント共有グループ」サービスが終了予定
https://www.docomo.ne.jp/info/news_release/2024/12/18_01.html
2025年7月〜、2025年7月利用分からユニバーサルサービス料、2.2円から3.3円に
https://www.itmedia.co.jp/mobile/articles/2504/25/news174.html
電気通信事業法で定められたユニバーサルサービス制度の番号単価が改定された。これに伴い、2025年7月利用分(2025年8月請求分)からユニバーサルサービス料を、現在の月額2.2円(税込み)から月額3.3円に変更する。
ユニバーサルサービス制度は、NTT東西の固定電話、公衆電話、緊急通報(110番、118番、119番)の提供に必要な費用の一部を、各電話番号で負担する制度。020から始まる番号を除く携帯電話や固定電話が対象となり、1つの電話番号に対して請求される。電気通信事業者協会(TCA)が算定し、半年に1回見直しを図っている。
2025年7月〜、ドコモ、請求書等発行手数料の改定、eビリング割引を終了
https://www.docomo.ne.jp/info/notice/page/250424_01.html・毎月の携帯電話等ご利用料金において「請求書」、「口座振替のご案内」、「ご利用料金のご案内」等を紙媒体で発行した際の発行手数料を改定いたします。
・月々の請求書等をインターネット(ご利用料金確認サイト)でご確認いただくことにより、請求金額から1回線あたり20円を割り引くeビリング割引を終了いたします。
2025年7月1日、アニメ情報サイト「アニメ@wiki」が有料会員制に移行
https://www.itmedia.co.jp/news/articles/2505/19/news106.html
アニメ関連の情報をまとめた個人サイト「アニメ@wiki」は5月18日、有料会員制に移行すると発表した。現状は無料でサイト内を閲覧できるが、7月1日をめどに有料会員のみが見られる形へ仕様を変えるという。利用料金は月額280円の予定。
2025年7月1日、JCOMがBSチャンネル「BS松竹東急」を買収し7月以降も放送継続
https://www.itmedia.co.jp/news/articles/2506/18/news127.html
JCOMは、BS松竹東急(東京都中央区)を完全子会社化すると発表した。これに伴い、2025年6月30日に放送終了する予定だったBSチャンネル「BS松竹東急」も、2025年7月1日以降は「J:COM BS」にチャンネル名を変えて放送を継続することになった。
2025年7月1日、リーダー電子はAI画像生成アプリ「AIピカソ」「AIいらすとや」などを運営するAI Picasso社を完全子会社化
https://www.itmedia.co.jp/aiplus/articles/2506/17/news074.html
電子計測器メーカーのリーダー電子(東証スタンダード)はAI画像生成アプリ「AIピカソ」「AIいらすとや」などを手掛けるベンチャー企業のAI Picasso社の全株式を1億9900万円で取得し、7月1日付で完全子会社化すると発表した。AI Picassoの大株主でAIコンサルティング事業を手掛けるAIdeaLab(2021年設立/持株比率64.45%)と、カヤック(同35.55%)から全株式を取得する。生成AI技術を活用した動画制作省力化ソリューションの成長を加速させる狙い。AI Picassoは2022年10月設立。「AIピカソ」や「AIいらすとや」などAI画像生成アプリで話題を集めてきた他、法人向け生成AIソリューションも提供してきた。
2025年7月1日〜、すかいらーくグループはフリーWi-Fiサービスを終了(バーミヤン、夢庵、ステーキガスト、藍屋、から好し、魚屋路(うおやみち)、chawan、 とんから亭、La Ohana、じゅうじゅうカルビ、トマトアンドオニオン、 しゃぶ葉の一部の店舗)
https://japan.cnet.com/article/35234320/すかいらーくグループはフリーWi-Fiを2012年の導入してきたが、近年の通信環境の変化や店内設備の見直しを進める観点から、サービスの終了を決定したとコメントした。なお、7月1日以降もガスト全店、ジョナサン全店、むさしの森珈琲全店、グラッチェガーデンズ全店、しゃぶ葉の一部店舗では提供を継続する。
2025年7月1日、電気通信事業法施行規則の一部を改正する省令の一部が施行
https://laws.e-gov.go.jp/law/360M50001000025/
事業用電気通信設備規則等の一部改正に関連し、非常時における携帯電話サービスの事業者間ローミングなど、電気通信設備に係る技術的条件の見直しを反映するものです 。これは、災害時などの通信インフラの強靭化や、より安定した電気通信サービスの提供を目指す政府の方針に沿ったものであり、国民の生活基盤を支える重要なインフラの信頼性向上に寄与すると考えられます。
2025年7月1日、第13回「事業再構築補助金」交付候補者の採択結果を公表
https://jigyou-saikouchiku.go.jp/
中小企業等の事業再構築を支援する「事業再構築補助金」は、第13回公募をもって新規の応募申請受付が終了しました 。第13回公募の電子申請受付は2025年3月26日に終了し、補助金交付候補者の採択発表は2025年6月下旬から7月上旬頃に、交付決定は7月頃に予定されています 。採択された事業者は、7月4日以降に複数回開催される説明会への参加が義務付けられており、参加しない場合は採択が無効となります 。この補助金は、コロナ禍からの経済回復を支援する目的で導入されましたが、今後は「中小企業新事業進出促進事業」など後継の補助金制度に引き継がれると予測されています 。
2025年7月2日、LINE NEXT Inc.提供「DOSI」サービス終了
https://www.linexenesiscorp.com/Notice/001
「LINE NFT」および「DOSI Wallet」のサービス終了後、LINE NEXT Inc.が運営するデジタルコマースプラットフォーム「DOSI」上で当社が発行したアイテムの取り扱いが継続されてまいりました。しかしながら、このたびLINE NEXT Inc.より、「DOSI」の全サービス提供を2025年12月末をもって終了する旨の発表がございました。これに伴い、当社が発行したアイテムのうち、以下の3種については、新たなブロックチェーン「Kaia」へのアイテム移転(Transfer)が可能となる予定です。
• LBblue
• LBsky
• LBgreen
2025年7月4日、イーロン・マスク氏、「アメリカ党」を結成 https://jp.reuters.com/markets/japan/funds/BSAYBNS76ZKVBB6Y25LS65FNU4-2025-07-05/
トランプ米大統領肝いりの大規模減税・歳出法案を批判していた実業家イーロン・マスク氏は5日、Xでフォロワーに実施したアンケートに基づき「アメリカ党」を立ち上げたと述べた。 新党設立の是非を問うアンケートをXで4日に実施したマスク氏は、「2対1の割合で、皆さんは新たな政党を望んでいる。そしてそうなる」とし、「今日、自由を取り戻すためにアメリカ党が結成された」と投稿した。
2025年7月4日、総務省関連のマイナンバー法改正
https://www.soumu.go.jp/menu_news/s-news/01gyosei02_02000384.html
総務省は、行政手続における特定の個人を識別するための番号の利用等に関する法律施行規則等の一部を改正する命令を公布しました 。これは、デジタル社会形成基本法等の一部改正を踏まえ、個人番号カード等の代理人手続において、カード代替電磁的記録の送信を利用した本人確認を可能にするものです。この改正は、情報通信技術の活用による行政手続の利便性向上、行政運営の簡素化・効率化を図ることを目的としています 1 。マナンバー制度の利便性向上は、デジタル行政の普及を加速させ、国民の行政サービス利用体験を大きく変える可能性があります。
2025年7月5日、大災難が本当にやってくる?
https://www.nikkan-gendai.com/articles/view/life/3662792021年10月に出版されると“予言の書”としてたちまち話題になり、すでに80万部を突破しているのが、たつき諒氏の漫画「私が見た未来 完全版」(飛鳥新社)。
今、同書がネット中心に賑わせているのは、“2025年7月5日に大災難がやってくる”と書かれているからだという。
「富士山大噴火とか、日本に青い彗星が落ちてくると言われていますが、ほかにも再び巨大地震が起こって大津波が襲う、はたまた核ミサイルが飛んでくると一部で言われています。南海トラフ地震の発生確率が高まる中、同書の予言に信憑性を持たせているのが、1999年に出版された、たつき氏の漫画で東日本大震災を予言していたからだといいます」(大手出版社編集者)※正確には予知夢を見たのが7月5日で、7月中とのことなので警戒も必要です。
2025年7月8日、Mozillaは“後で読む”アプリ「Pocket」の提供を終了
https://www.itmedia.co.jp/news/articles/2505/23/news112.html
Mozillaはまた、信頼できないレビューを識別するためのブラウザ拡張機能「Fakespot」の提供も2025年7月1日に終了する。Firefox内のFakespot機能である「Review Checker」は、6月10日に終了する。
2025年7月10日〜、9月10日まで富士山入山制度を変更
https://coki.jp/article/column/55200/オーバーツーリズムによる混雑や環境負荷、登山者の安全確保といった問題に対応するためのものです。主な変更点は以下の通りです :
- 入山料の義務化: 全ルート一律4,000円が、従来の任意協力金から強制徴収となります。
- 入山時間制限: 14時から翌3時までは、山小屋宿泊者以外の入山が禁止されます。
- 事前登録義務: アプリでのQRコード取得とeラーニングの受講が必須となります。
- 人数制限: 吉田ルートでは1日4,000人に制限されます(山梨県側)。
これらの措置は、富士山の「管理される山」への移行を示し、登山者には「登る覚悟」が求められるようになります 。この制度変更は、富士山観光のあり方を根本的に変え、持続可能な観光と自然保護の両立を目指すものです。
2025年7月13日、危険ドラッグの成分3物質を新たに指定薬物に指定
https://www.mhlw.go.jp/stf/houdou/0000212707_00029.html厚生労働省は、危険ドラッグ成分3物質を新たに指定薬物に指定する省令を公布し、2025年7月13日に施行します 。これは、乱用が社会問題となっている危険ドラッグに対する規制を強化し、国民の健康と安全を守るための重要な措置です。指定薬物は、幻覚や興奮作用を持つ物質で、医療等の用途以外での製造、輸入、販売、授与、所持、使用などが禁止されます。この措置は、新たな危険ドラッグの出現に迅速に対応し、薬物乱用を未然に防ぐことを目的としています。
2025年7月、厚生労働省、予防接種記録保存期間変更
https://mainichi.jp/articles/20250702/k00/00m/040/009000c
予防接種記録の保存期間が「接種日から5年」から「死亡後から5年」に変更される予定です 。これは、個人の予防接種履歴をより長期間にわたって管理し、生涯にわたる健康管理や将来の感染症対策に役立てるための見直しです。医療機関や自治体における記録管理体制の変更が伴うことになります。
2025年7月22日、アイドル雑誌の『POTATO(ポテト)』が7月22日発売の9月号をもって休刊
https://encount.press/archives/798919/
1984年に創刊し、数多くのアイドルと共に時代を歩んできた雑誌『POTATO(ポテト)』が7月22日発売の9月号をもって休刊することが20日に公式Xで発表された。
2025年7月20日、参議院議員の任期が満了。参議院議員通常選挙がそれまでに実施予定
https://houseikyoku.sangiin.go.jp/column/column054.htm
2025年7月20日、参議院と共に衆議院議員の同時選挙の可能性もあり
https://www.pictet.co.jp/investment-information/market/deep-insight/20241101.html
2025年7月30日、画面収録ソフトのBandicamがWindowsに続きmacOSにも対応
https://pc.watch.impress.co.jp/docs/news/2035318.html
Bandicam Companyは、画面録画ソフト「Bandicam」のmacOS対応版「Bandicam for Mac」をリリースした。無料版のほか、Pro版も用意しており、月額1,500円または年額5,000円で利用できる。Bandicam for Macは、これまでWindows版のみだった同社の画面録画ソフトBandicamをmacOSに対応させた製品。最大5K/60fpsでの高品質録画に対応し、システム音とマイク音の同時キャプチャが可能だ。Webカメラのオーバーレイ機能を搭載しており、顔出しでの解説や実況動画を簡単に作成できる。
無料版では1回の記録時間が5分までに制限されるが、ウォーターマークなしで録画できる。 Pro版では、無料版の制限が解除され、5分以上の長時間録画が可能になる。加えて、録画後の編集機能として、トリミング機能を内蔵。録画したコンテンツのカット編集が手軽に行なえる。また、動作中に広告が表示されない仕様となっている。
2025年7月31日、「NBA Rakuten」はサービスを終了
https://nba.rakuten.co.jp/news/13471
また、楽天モバイル「Rakuten最強プラン」および「Rakuten最強プラン(データタイプ)」ご契約者様特典として提供中の「NBA LEAGUE PASS for 楽天モバイル」についても、2025年7月31日(木)23時59分をもちましてサービスの提供を終了させていただきます。
2025年7月、NEXCO3社(NEXCO東日本、NEXCO中日本、NEXCO西日本)は深夜割引の見直しについて再延期
https://rengoukai.jp/useful/%E9%AB%98%E9%80%9F%E9%81%93%E8%B7%AF%E3%81%AE%E3%80%8C%E6%B7%B1%E5%A4%9C%E5%89%B2%E5%BC%95%E8%A6%8B%E7%9B%B4%E3%81%97%E3%80%8D%E3%81%8C%E5%86%8D%E5%BB%B6%E6%9C%9F%E3%81%B8/
2025年5月28日にNEXCO3社から運用開始時期の再延期が発表されました。運用開始時期は未定とのことで、当面は現行の割引が維持されます。
2025年7月31日、テキストサイト「侍魂」が約20年ぶりに更新
https://pc.watch.impress.co.jp/docs/news/yajiuma/2035648.html
2024年にホスティングを行なっていたぷららのサービス終了が発表され、2025年9月にはサイトも削除される予定だったが、2025年に入りライターのヨッピー氏をはじめとした協力者の働きかけによって、ロリポップへの移管が実現している。
侍魂は、2001年に管理人の健さんが開設した個人テキストサイト。中国の大学が開発した2足歩行ロボット「先行者」のGIF動画ネタなどが当時のインターネットで大きな話題になり、のちのテキストサイト隆盛に寄与した。ヒット直後の健さんに、僚誌Internet Watchがインタビューしている。その後は健さんの私生活の変化に伴い、2006年頃に更新を停止していた。
2025年(令和7年)から8月から変わること
2025年8月〜、8月の食品値上げ 約1000品目 前年同月比1.5倍に 値上げ続く
https://www3.nhk.or.jp/news/html/20250731/k10014880271000.html
2025年8月1日〜、国民健康保険・後期高齢者医療制度の「従来の健康保険証」が期限切れ
https://news.yahoo.co.jp/expert/articles/27a606aad1c51af68bd8076bb4c21f5dbd090b10影響を受けるのは、国民健康保険に加入する方の約7割と後期高齢者医療制度の全加入者、合計で3700万人以上。2025年7月31日をもって、国民健康保険・後期高齢者医療制度の「従来の健康保険証」の多くが有効期限を迎えます。
主な対象は以下の方です。
- 【後期高齢者医療制度】75歳以上、または65~74歳で障害認定を受けた方
- 【国民健康保険】自営業・退職後の方・パートやアルバイト・農業従事者など
市区町村によって有効期限に差はありますが、7月末~順次切り替わっていきます。
従来の保険証が使えなくなる代わりに、今後は「マイナ保険証」または「資格確認書」で医療機関を受診することになります。
2025年8月1日、調査研究広報滞在費(旧文書通信交通滞在費)を公開へ
https://www.nikkei.com/article/DGXZQOUA114YQ0R11C24A2000000/
衆院の与野党7会派は11日、調査研究広報滞在費(旧文書通信交通滞在費)の改革を盛った歳費法改正案の内容について大筋で合意した。使途公開や残金返納を義務づける。施行時期は参院側の協議結果とそろえ、2025年8月1日と明記した。
2025年8月1日〜、朝日新聞社は東京・大阪本社で発行している土曜日の夕刊を休止
https://www.itmedia.co.jp/news/articles/2506/04/news093.html
人手不足の深刻化と働き方改革を背景に「朝日新聞販売所(ASA)の労働環境の維持・改善を図るため」としている。購読料は据え置く。
2025年8月1日〜、航空自衛隊、米Boxのクラウドストレージ導入
https://www.itmedia.co.jp/news/articles/2508/01/news069.html
航空自衛隊がクラウドストレージ「Box」を採用した。空自はこれまでオンプレミスのファイルサーバを全国73カ所に置いて情報共有に利用していたが、容量不足や管理工数が課題になっていたため、新たにBoxを導入するという。サービスを提供する米Boxの日本法人が8月1日に発表した。
2025年8月2日〜、毎日新聞は土曜夕刊を休止へ
https://www.tokyo-np.co.jp/article/411200
毎日新聞社は2025年8月2日から土曜日の夕刊を休止すると発表した。新聞販売店の従業員や配送トラックの運転手の人手不足が深刻化しており、労働環境の維持や改善を図るためとしている。月曜日から金曜日までの夕刊発行は続ける。購読料は据え置く。土曜日に掲載していた芸能やスポーツなどの記事は平日に掲載する。金曜日の夕刊をリニューアルし、医療・健康情報を充実させるという。
2025年8月5日〜、マネーフォワードは家計簿アプリ「マネーフォワード ME」の「スタンダードコース」の料金を改定
https://japan.cnet.com/article/35235009/
2025年8月11日、MicrosoftはBingの検索機能を利用できるようにするAPI「Bing Search API」の提供を終了
https://www.itmedia.co.jp/news/articles/2505/16/news130.html
Bing Search APIの既存のインスタンスはすべて完全に廃止され、製品は使用できなくなり、新規顧客のサインアップもできなくなります」とある。現行ユーザーに対しては、Azure AI Agentsの一部として、Bing Searchを使用したグラウンディングの検討を勧めている。これにより、Azure AI AgentsはLLMを使用して応答を生成する際に、リアルタイムの公開Webデータを組み込めるようになる。
2025.8.13、LINEヤフー、『LINE ドドドバトル』のサービスを終了
https://gamebiz.jp/news/409956
2025年8月15日、石破首相が「戦後80年見解」をコメントするのか注目
https://www.jiji.com/jc/article?k=2025080200306&g=pol
「コメント」を出す時期は、8月15日の終戦の日と日本が降伏文書に調印した9月2日を指摘。首相は見解を出すタイミングをなお探る構えだが、参院選を受けて自民内に広がる退陣論を増幅させかねないため、発表は困難との見方もある。戦後50年、60年、70年の節目に時の首相が談話を出してきた流れが途切れる可能性が出てきた。
2025年8月20日、AmazonのAndroidアプリストア、8月20日にサービス終了
https://www.itmedia.co.jp/news/articles/2502/21/news102.html
米Amazonは2011年に立ち上げたAndroidアプリストア向けのアプリ開発者に対し、同日から新しいアプリの申請を受け付けなくなると告知した。
2025年8月25日、GoogleのURL短縮サービスが完全終了を一転し、一部継続へ
https://jetstream.blog/archives/202312
Googleは、「goo.gl」を使った短縮URLについて、2024年8月23日以降、サービス終了の告知が表示されるようになり、2025年8月25日にはURLから応答を返されなくなると公表しましたが、まだ「goo.gl」が広く活用されていることを考慮し、「goo.gl」の対応を変更しアクセスしても “このリンクは近日中に機能しなくなります(This link will no longer work in the near future)” が表示されないサポート終了対象外「goo.gl」生成短縮 URL については、2025 年 8 月 25 日(月)以降もサポートが継続されます。
2025年8月27日、アプリ版pixivで利用できるライブ配信機能「pixiv Sketch LIVE」のサービスを終了
https://www.pixiv.net/info.php?id=12373
「pixiv Sketch LIVE」は2017年にサービスを開始。お絵かきコミュニケーションサービス「pixiv Sketch」は引き続きサービス提供します。
2025年8月19日、衣類の取り扱い表示のJIS改正 経過措置を修了
https://smbiz.asahi.com/article/15397302
経済産業省と消費者庁は2024年8月20日に洗濯時などの衣類の取り扱い表示に関わる「JIS L0001」を改正しました。新しい記号の追加や記号の意味の変更など4つのポイントがあります。経過措置は2025年8月19日までとなります
2025年8月29日、「Peing-質問箱-」サービス終了を告知も事業譲渡で継続へ
https://www.itmedia.co.jp/news/articles/2508/14/news106.html
「Peing(ペイング)-質問箱-」は、個人開発者のせせりさんが手掛けたもので、2017年11月の公開から3週間で月間2億ページビュー規模に成長するなど、Twitter(現X)で大きな反響を呼んだ。同年12月にはトレーディングカード・スニーカー特化のフリマアプリ「magi」などを運営するジラフが買収したが、21年にゲームの開発・運営を手掛けるDigital monkeyへ事業譲渡している。更に事業譲渡により、2025年8月30日以降もサービスを継続することが発表された。
2025年8月31日、KyashはQUICPay+™(クイックペイ)の利用を終了
https://www.kyash.co/information/20250602
Visaブランドへのサービス一本化を進める一環で終了となる。
2025年8月31日、クイックコマースサービス「Yahoo!クイックマート」を終了
https://netshop.impress.co.jp/node/14652LINEヤフーと出前館はこのほど、生鮮食品や日用品などを最短20分で届けるサービスを終了。日程は、注文受付終了日時が8月30日(土)23時59分、サービス提供終了日時は2025年8月31日(日)23時59分。
2025年8月31日、テレビ東京、『出川哲朗の充電させてもらえませんか?ゲーム』を終了
https://gamebiz.jp/news/409143本作は、全国の名所を充電バイクで巡り、「全国名産カタログ」を「名所」「名産・グルメ」カードでコンプリートさせることが目的のゲーム。2020年12月25日よりサービスを開始しており、サービス開始から約4年8ヵ月でのサービス終了となる。
2025年(令和7年)から9月から変わること
2025年9月1日〜、社会保険料の改定(毎年恒例)
https://sharoushi-cloud.com/blog/column/nedosantei/play74-santeigo/
社会保険料の改定は毎年9月に行われ、4〜6月の給与をもとに標準報酬月額が決まり、その結果9月または10月の給与から社会保険料が変更されます。これにより手取り額が増える場合もあれば減る場合もあり、例えば4〜6月に残業が多かった人は保険料が上がって手取りが減る可能性があり、逆に収入が下がった人は保険料が下がって手取りが増える可能性があります。なお、改定が反映されるタイミングは会社によって異なり9月の給与か10月の給与となるため、自分の給与明細をしっかり確認しておくことが大切です。
2025年9月1日〜、保育料の見直し(毎年恒例)
https://kidsline.me/magazine/money/1001
保育料の見直しは毎年9月に行われ、前年の市町村民税を基に新しいランクが決まるため、所得控除を活用して課税所得を減らしておけば保育料が下がることもあります。代表的な控除には配偶者控除、医療費控除、生命保険料控除・地震保険料控除、年金の追納やiDeCoの掛け金などがあり、使える控除をしっかり使うことで家計の負担を軽減することができます。
2025年9月の飲食料品値上げ、1422品目 9カ月連続で前年上回る
https://prtimes.jp/main/html/rd/p/000001144.000043465.html
2025年9月の値上げを食品分野別に集計すると、たれ製品やソース、マヨネーズ、ドレッシング類を中心とした「調味料」(427品目)が最多となった。「加工食品」(338品目)は、各種冷凍食品や水産練り製品などが多かった。「菓子」(291品目)ではチョコレートやポテトチップス類のほか、「乳製品」(138品目)を含め冷菓製品で一斉値上げとなった。また、「原材料」(205品目)はキャノーラ油製品で一斉値上げとなり、同分野としては11カ月ぶりに単月で100品目を超えた。
2025年9月1日〜、Workplace from Metaの利用が終了(サービス終了は2026年5月31日)
https://forwork.meta.com/jp/meta-workplace/
- 2025年8月31日まで: Workplaceはこれまで通りご利用いただけます。
- 2025年9月1日~2026年5月31日: 既存データの読み込みとダウンロードのみご利用いただけます。
- 2026年6月1日: Workplaceにアクセスできなくなり、Workplaceは削除されます。
2025年9月8日未明〜、日本では3年ぶりの皆既月食 7日(日)深夜の満月が赤銅色に
https://www.astroarts.co.jp/special/20250908lunar_eclipse/index-j.shtml
9月7日(日)の夜に昇る満月は日付が変わった8日(月)の未明から欠け始め、明け方にかけて全国で皆既月食が起こり、日本で皆既月食が見られるのは3年ぶりとなります。皆既月食とは満月が地球の影の中を通過することで光が遮られ赤銅色に見える現象であり、全国どこでも同じタイミングで観測することができます。
2025年9月13日〜、東京・国立競技場で「世界陸上競技選手権大会」が開催(2025年9月21日まで)
https://www.jaaf.or.jp/competition/detail/1927/
2025年9月17日、Q&Aコミュニティサイト「教えて!goo」がサービスを終了
https://blog.goo.ne.jp/oshietegoo/e/40d490c48e92fdd8dc2a18b8e904aeb0
NTTドコモが運営するポータルサイト「goo」の公式サイトを通じて発表された。2000年11月22日サービス開始から約25年で終了となります。
2025年9月19日〜、マイナ保険証搭載スマホ「スマホ保険証」全国で順次利用可能に
https://www3.nhk.or.jp/news/html/20250827/k10014904811000.html
「マイナ保険証」の機能を搭載したスマートフォンが来月19日から準備が整った全国の医療機関や薬局で順次利用できるようになり、厚生労働省は先月から関東の一部の医療機関で先行導入したところ大きな問題はなかったとして本格的に全国展開することを明らかにしました。利用できるのはスマートフォンの読み取りに対応した専用機器を設置している医療機関や薬局に限られ、受診の際には事前確認が必要で、わからない場合は実物のマイナンバーカードを持参するよう呼びかけています。また、スマートフォンでの読み取りができない場合にはマイナポータルにログインして資格情報画面を提示すれば保険診療を受けられる仕組みで、厚生労働省は今後対応医療機関や薬局の情報をホームページで公開するなど円滑な受診環境の整備を進めていくとしています。
2025年9月中旬〜、自動車など関税引き下げ時期 “9月中旬を目安”米財務省関係者
https://www3.nhk.or.jp/news/html/20250811/k10014891721000.htmlアメリカのトランプ政権による関税措置をめぐって日本とアメリカは自動車などへの25%の追加関税を15%に引き下げることで合意しており、引き下げ時期についてアメリカ側は7月下旬の合意から50日後となる9月中旬を目安としていることがアメリカ財務省関係者への取材で分かりました。これは関税交渉で最も早く合意したイギリスのケースで自動車への関税引き下げに約50日を要したことを参考にしたものとされ、日本政府は自動車などへの関税が経済に与える影響は極めて大きいとして一日でも早い引き下げを求めていますが、実際の引き下げ時期は今後の日米交渉の行方によって変わる可能性があります。
2025年9月30日、SmartMat Liteのサービスを終了
https://service.lite.smartmat.io/news/notice_20241001
2021年4月よりサービスを開始してから、、Amazon自動注文および買いどき通知などサービスを展開してきた。
2025年9月30日、ドコモからのお知らせ :「docomo with」の提供終了
https://www.docomo.ne.jp/info/notice/page/250424_00.html
2025年9月30日、ペイディカードの利用を終了
https://paidy.com/paidycard/news/
2021年4月、ペイディをご利用いただいているお客様に、もっと自由に、もっと自分らしくお買い物を楽しんでいただくため、ペイディカード(旧:どこでもペイディ)は生まれました。2022年には、リアルカードのサービスをスタート。ペイディが10周年という節目を迎え、次の10年を見据える中で、よりペイディならではの強みを発揮できるサービスに注力し、さらに進化させることが重要であるという決断に至りました。つきましては、2025年9月30日をもちましてペイディカードのサービスを終了させていただくことになりました。
2025年9月30日、ふるさと納税、仲介サイトの「ポイント還元」終了
https://www3.nhk.or.jp/news/html/20250904/k10014912901000.html
ふるさと納税をめぐっては10月からポイントを付与する仲介サイトを通じた寄付の募集が禁止されることになり、総務省は仲介サイト運営事業者の間でポイント還元競争が過熱しているとして今後も必要に応じて制度の見直しを続ける方針です。ふるさと納税は2008年に都会で暮らす人でも地方の活性化に貢献できる制度として設けられ、寄付金や利用者は年々増加し、昨年度全国の自治体に寄付された総額は約1兆2728億円と過去最多を記録しました。また昨年1年間にふるさと納税を利用して今年度の住民税の控除を受ける人も約1080万人と過去最多となり、自治体からの返礼品や仲介サイトのポイント還元などを背景に広く普及してきましたが、今後はポイント付与を行う仲介サイト経由での寄付はできなくなります。
2025年9月30日、「gooランキング」サービス終了
https://help.goo.ne.jp/help/article/2891/
2005年9月にサービスを開始して20年の歴史に幕を閉じる
2025年9月30日、ブログサービス「Typepad」のサービス終了
https://gigazine.net/news/20250828-typepad-is-shutting-down/
シックス・アパートのコンテンツ管理システムの「Movable Type」をベースとして誕生し、2003年から展開されてきたブログプラットフォーム「Typepad」が、2025年9月末をもってサービス終了となることが発表されました。
2025年(令和7年)から10月から変わること
2025年10月1日、5年に1度の国勢調査を開始
https://www.kokusei2025.go.jp/
2025年10月〜、飲食料品値上げ、3024品目 半年ぶり値上げラッシュ 年間では2万1000品目前後予想 年末にかけて値上げ「小休止」の見通し
https://prtimes.jp/main/html/rd/p/000001159.000043465.html
2025年10月1日、子の養育又は家族の介護を行い、又は行うこととなる労働者の職業生活と家庭生活との両立が図られるようにするために事業主が講ずべき措置等に関する指針
https://revision.sato-portal.com/202510-2/
妊娠・出産の申出時や子が3歳になる前の時期の仕事と育児の両立に関する個別の意向の聴取と配慮、「柔軟な働き方を実現するための措置」の各措置の具体的な内容の制定 等
2025年10月1日〜、「柔軟な働き方制度」が開始
https://www.obc.co.jp/360/list/post458
10月から「柔軟な働き方制度」が始まり、会社が導入する内容によって従業員はさまざまな働き方を選べるようになります。例えば月に10日以上のテレワークが認められることで在宅勤務の機会が増え、通勤負担の軽減や家庭との両立がしやすくなります。また、出勤時間をずらす時差勤務が可能になれば、子どもの送迎や混雑回避などライフスタイルに合わせた勤務が可能になります。さらに短時間勤務の対象や時間幅が拡大されることで、育児や介護をしながらでも働きやすくなり、年10日以上の養育両立支援休暇が取れるようになることで子どもの学校行事や体調不良にも柔軟に対応できます。加えて、保育施設の設置や補助を行う会社であれば、安心して子どもを預けながら仕事を続けられる環境が整います。このように制度を活用することで、家庭と仕事の両立や自分に合った働き方の実現が期待されます。
2025年10月1日、ヤマト運輸は宅配便の運賃をを平均3.5%値上げ
https://www.yomiuri.co.jp/economy/20250501-OYT1T50143/
値上げは2024年4月以来、1年半ぶり。燃料費や人件費の上昇分を価格に転嫁する。対象は、縦・横・高さの3辺合計が120~200センチとなる5区分の荷物と、ゴルフバッグやスキー用品の宅配便。関東地方の発着(現金決済)で、120センチ以内の「120サイズ」は190円増の税込み2040円、「200サイズ」は750円増の4470円となる。ゴルフバッグは510円増、スキー用品は620円増とする。100センチ以内の荷物は値上げしない。
2025年10月〜、ドコモ、キッズケータイプラン等のみの請求をお送りするお客さまの請求書等発行手数料の請求開始
https://www.docomo.ne.jp/info/notice/page/250424_01.htmlキッズケータイプラン等のみの請求についてもeビリングが申込可能となることから、請求書等発行手数料の請求を開始することといたします。
2025年10月〜、テレビの視聴率データなどを提供する調査機関の株式会社ビデオリサーチは、視聴率の測定領域を「TVer」や「YouTube」「Netflix」などの動画配信プラットフォームにも拡大し全国32地区で正式サービス開始予定
https://pc.watch.impress.co.jp/docs/news/1517488.html
2025年10月1日、NHK(日本放送協会)は「NHK ONE」を開始
https://www.itmedia.co.jp/mobile/articles/2507/30/news128.html
NHK ONEは、番組の同時配信、見逃し(聴き逃し)配信、ニュースの記事や動画などを、スマートフォンやPC、ネット対応テレビに最適化し、Webサイトやアプリを通じて提供する新サービスだ。NHKではこれまでにもNHKプラスを通じて見逃し配信サービスを行ってきたが、NHK ONEでは番組の同時配信や関連情報の提供をさらに強化する。
2025年10月〜、三井不動産は、千葉県船橋市で推進中の「三井ショッピングパーク ららぽーとTOKYO-BAY北館建替え計画」のI期エリアを開業する。
https://www.watch.impress.co.jp/docs/news/2019478.html
2025年10月〜、三才ブックスは雑誌「ラジオライフ」が隔月刊化
https://www.itmedia.co.jp/news/articles/2506/25/news070.html
三才ブックス(東京都千代田区)は、雑誌「ラジオライフ」を10月発売の12月号をもって月刊誌としての刊行を終了し、隔月刊誌としてリニューアルする。6月25日発売の8月号の誌面と公式Xアカウントで明らかにした。
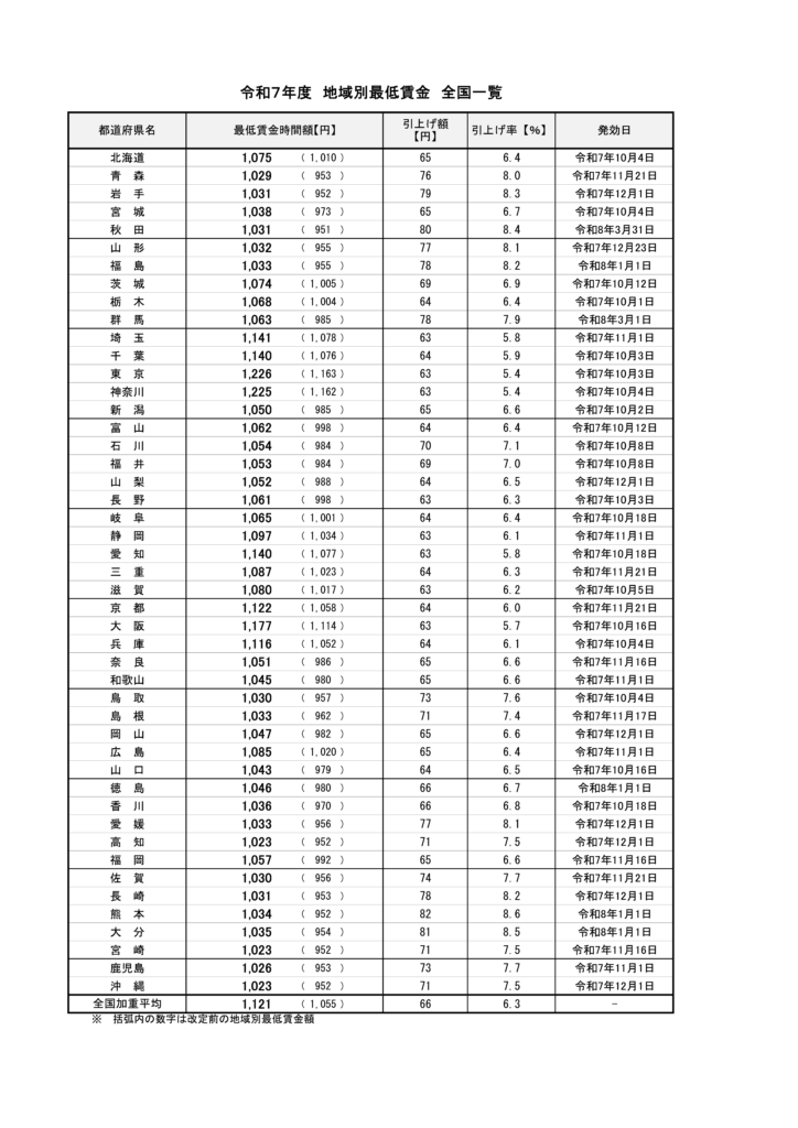
2025年10月〜、令和7年度地域別最低賃金が全国で引き上げを開始
https://www.mhlw.go.jp/content/11200000/001571192.pdf
2025年10月〜、教育訓練休暇給付金の支給を開始
https://smbiz.asahi.com/article/16045162
教育訓練休暇給付金は、雇用保険の一般被保険者である従業員が、労働協約や就業規則等に定められた社内制度に基づき、教育訓練を受けるために30日以上連続した無給の休暇を取得した場合に給付を受けられる制度です。2025年10月1日から始まります。
2025年10月〜、19歳以上23歳未満の健康保険の被扶養者認定が変更
https://smbiz.asahi.com/article/15982521
2025年度税制改正で、19歳以上23歳未満の親族等を扶養する場合における特定扶養控除の要件を見直しました。そこで、19歳以上23歳未満の被扶養者(被保険者の配偶者は対象外)に対して、年間収入要件を「130万円未満」から「150万円未満」へと引き上げます。この変更は、2025年10月1日以降に扶養認定が行われるケースから適用を開始します。
2025年10月〜、1後期高齢者医療制度の「2割負担」の配慮措置が終了
https://smbiz.asahi.com/article/16027473
2022年10月の後期高齢者医療制度の見直しにより、一定以上の所得がある人の窓口負担割合が1割から2割に引き上げられましたが、急激な負担増を防ぐための配慮措置(1か月の外来医療の負担増加額を3000円までに抑える措置)が講じられていました。この配慮措置は2025年9月30日の診療で終了します。2025年10月1日以降の診療からは、2割負担となる方の窓口負担額が配慮措置適用時よりも増加する可能性があります。
2025年10月〜、住宅セーフティネット法を改正へ
https://smbiz.asahi.com/article/15494062
住宅セーフティネット法は、高齢者、障害者、低所得者など住宅の確保に特に配慮を必要とする人に対して、民間賃貸住宅への入居を支援するための法律です。高齢者の入居が拒否されてしまうといった課題に対応するため、2025年10月に法改正します。
2025年10月〜、国税庁の確定申告書等作成コーナー、IDの発行停止
https://smbiz.asahi.com/article/16050076
国税庁のウェブサイトにある「確定申告書等作成コーナー」で利用できる、利用者識別番号(e-TaxのID)と暗証番号のみで利用する「ID・パスワード方式」について、新規のID発行が2025年10月1日から停止となります。すでに発行されているID・パスワードは、当面の間は利用可能です。
2025年10月〜、有機酒類の表示ルール変更 有機JASマークが必要
https://smbiz.asahi.com/article/16042141
酒類に「有機」や「オーガニック」といった名称を表示するためのルールが変更されます。2025年10月1日以降、酒類に「有機」や「オーガニック」と表示するには、有機JAS認証を取得し、有機JASマークを付すことが必須となります。
2025年10月〜、米国の電子渡航認証「ESTA」、手数料40ドルに値上げ
https://smbiz.asahi.com/article/16013677
アメリカ合衆国への渡航に必要な電子渡航認証システム(ESTA:Electronic System for Travel Authorization)の申請手数料が2025年9月30日(米国東部時間)から改定されます。現在の21ドルから、40ドルに引き上げられます。9月29日までに申請し、承認されたESTAは、有効期限(通常2年間)まで引き続き利用可能です。
2025年10月〜、改正道路法、道路分野の脱炭素化の推進へ
https://www.mlit.go.jp/report/press/road01_hh_001995.html
国交省のプレスリリースによると、2025年10月1日から「道路法等の一部を改正する法律」が施行されます。この改正の目的は、自然災害の頻発や道路の老朽化を踏まえ、安全かつ円滑な道路交通の確保の重要性増大に対応することです。
・防災・危機管理の充実:平時からの備えと有事における初動対応の充実を図ることを定めています。具体的には、国土交通大臣が地方自治体(都道府県・市町村)に代わって、管理する防災拠点自動車駐車場の改築等を行う場合の権限について規定の整備が行われます。
・道路分野の脱炭素化の推進です。インフラ管理の担い手不足への対応とともに、脱炭素化が推進されます。具体的には、脱炭素化推進のため、占用許可基準を緩和する物件及びその設置場所が定められます。
2025年10月〜、外免切り替え厳格化へ
https://www.keishicho.metro.tokyo.lg.jp/menkyo/oshirase/low.html
警視庁の公式サイトによると、外国の運転免許を日本の免許に切り替える「外免切り替え」制度について、審査を厳格化する改正道交法施行規則が2025年10月1日から施行されます。まず、知識確認(学科試験)は、イラスト問題を廃止し、問題数が10問から50問へと大幅に増えます。合格基準も10問中7問以上から、50問中45問以上の正解が必要となります。技能確認についても、横断歩道の通過等の課題が追加され、審査基準が厳格化されます。また、外国籍の方が免許更新をする際は、マイナ免許証、在留カード、特別永住者証明書、特定事項が記載された住民票の写しのいずれか1通を提示する必要があり、ホテルや知人宅を住居とした「一時滞在証明」は認めないことになりました。
2025年10月〜、ペライチ、フリープランでのページ公開を終了
https://smbiz.asahi.com/article/16055805
ホームページ作成サービス「ペライチ」は2025年10月1日から、サービス内容を改定し、フリープランにおけるページ公開機能を終了します。10月1日以降も引き続きページを公開する場合は9月30日までにプラン変更の手続きが必要です。
2025年10月6日〜、Facebookグループのコミュニティチャット利用停止へ
https://x.com/enspire_co_jp/status/1970400095196877188
2025年10月12日〜、輸入申告項目・税関事務管理人制度、税関が見直し
https://smbiz.asahi.com/article/15650422
越境電子商取引(EC)が拡大し、国際的な貨物輸送が増えるなか、不正薬物や知的財産侵害物品などの密輸、FS利用貨物を利用した脱税といった問題が起きるなか、2025年10月12日からは、すべての輸入貨物を対象に、以下の3つの項目が輸入申告項目として追加されることになりました。
・輸入許可後の貨物の「運送先の所在地・名称」
・「通販貨物に該当するか否か」
・通販貨物に該当する場合の「プラットフォームの名称等」
2025年10月13日、大阪府夢洲で「大阪・関西万博」が終幕
https://www.expo2025.or.jp/overview/
2025年10月14日、マイクロソフト社のWindows 10およびOffice 2016の延長サポートが終了
https://www.intercom.co.jp/malion/column/windows10-support-ends/
Windows10から11への無償アップグレードが2025年10月14日で終了らしいが中古PCが販売できなくなるので中古PC屋がヤバい?
https://togetter.com/li/2515124
2025年10月15日、GMO順位チェッカー、ずっと無料プランの提供を終了
2025年10月22日、メルカリ、指定した法人以外の事業者はユーザー登録及びサービスの利用ができなくなり、メルカリShopsへと移行するように利用規約を改定しました。
https://financial-field.com/living/entry-475710
2025年10月28日、Dropbox Passwords、完全終了
https://www.itmedia.co.jp/news/articles/2507/31/news075.html
Dropbox Passwordsは、2020年から提供しているサービス。日本でも2021年から無料ユーザーでも利用できるようになっていた。停止は段階的に行われる。8月28日にはモバイルアプリとWebブラウザの拡張機能の両方で閲覧専用となり、自動入力機能も無効化される。9月11日にはモバイルアプリが利用できなくなり、10月28日にすべてのデータが「永久かつ安全に削除」される。
2025年10月30日、「楽天レシピ」iOSアプリおよびAndroidアプリと、「楽天レシピ プレミアムサービス」の提供を終了。
https://plaza.rakuten.co.jp/recipeinfo/diary/202506300000/
「楽天レシピ」のウェブサイト版は今後も利用できます。■「楽天レシピ」アプリ提供終了までのスケジュール
2025 年 9 月 1 日(月):App StoreおよびGoogle Playストアからのアプリダウンロードの終了
2025 年 10 月 30 日(木):アプリ提供終了 (アプリの利用停止)アプリ提供終了に伴い、終了する機能・削除されるデータ
・アプリ版「ラッキーくじ」
・アプリにログインをしていない状態で登録した「お気に入りレシピ」履歴
・「最近見たレシピ」履歴
・「リピートしたい」「簡単だった」「節約できた」スタンプを押したレシピ履歴(ログイン時限定機能)
・フォローキーワード履歴(ログイン時限定機能)■「楽天レシピ」プレミアムサービス終了までのスケジュール
2025 年 8 月 21 日(木): プレミアムサービスの新規お申し込み・再契約お申し込みの終了
2025 年 10 月 30 日(木): プレミアムサービス提供終了
・ご注意点
2025 年 9 月 25 日(木)以降は、プレミアムサービスの更新手続き、およびお客様ご自身での解約手続きができなくなります。
2025 年 10 月 30 日(木)にかけて、順次プレミアムサービスのご契約が終了します。
お客様の最終ご利用可能日(契約終了日)は、ご契約開始のタイミングによって異なります。
2025 年 9 月 25 日(木)以降に契約終了となる場合、解約のお知らせメールは送信されません。予めご了承ください。
2025年10月31日(金)、GeForce NOW Powered by auのサービス提供を終了
https://www.au.com/entertainment/cloudgame/
2025年10月31日、「ローラ メルシエ」日本市場から撤退 全店舗とECでの販売終了
https://www.wwdjapan.com/articles/2155411
「ローラ メルシエ」は1996年にフランス人のローラ・メルシエ(Laura Mercier)が立ち上げたブランド。定評のあるベースメイクを筆頭に、リップやアイメイクなどを展開する。20周年を迎えた2016年に資生堂が2億6000万ドル(約288億円)で買収したものの、21年に米投資ファンドのアドベント・インターナショナルに売却。同社が設立した新会社オルヴェオン(ORVEON)が保有しながら、資生堂ジャパンが輸入・販売を行ってきた。
2025年10月31日、50cc原付バイクの生産を終了
https://www.watch.impress.co.jp/docs/topic/1624043.html
特にホンダは排ガス規制強化や市場縮小を理由に、ガソリンエンジン搭載の50cc原付バイクの生産を中止する方針。原付は都市部での移動手段として長らく人気がありましたが、近年は電動キックボードなど新たなモビリティの登場で利用者が減少。郵便配達など業務用としては電動バイクへの移行が進められています。
2025年(令和7年)から11月から変わること
2025年11月1日、LINEが11月で使えなくなる?ってホント?」
https://trilltrill.jp/articles/4345790#google_vignetteLINEバージョン13.20.0以下が対象です。LINEを使い続けるために必要なバージョンはiPhone/iPad (iOS/iPad OS):バージョン15.0以上です。iPhoneの場合、iPhone 6以前の機種はOSを「iOS 15.0」以上にアップデートできません。
2025年11月〜、飲食料品値上げ、は年内最少の143品目11カ月ぶり前年下回る
https://prtimes.jp/main/html/rd/p/000001176.000043465.html
2025年11月〜、UQ mobileの料金を値上げ
https://smbiz.asahi.com/article/15980748
2025年11月〜、建築基準法施行令の一部改正
https://smbiz.asahi.com/article/16045132
2025年11月1日、モリサワ、 「游ゴシック」「游明朝」などを手掛ける字游工房を吸収合併
https://www.itmedia.co.jp/news/articles/2506/18/news100.html
字游工房は写植大手だった写研の社員3人が独立し1989年に設立した書体デザイン企業で、2019年3月にモリサワの完全子会社となっている。iOSやmacOSの標準フォント「ヒラギノ」(販売はSCREENホールディングス)の書体デザインでも知られる。
2025年11月5日、2025年で地球に最も近い満月となるため、最も大きく見えるスーパームーンが観測
https://weathernews.jp/news/202510/310166/
2025年11月14日、給湯の省エネ2025事業の予約受付を終了
https://smbiz.asahi.com/article/16087102「給湯省エネ2025事業」について、経済産業省は2025年11月14日をもって交付申請の予約の受付を終了すると発表しました。既存の電気蓄熱暖房機または電気温水器を撤去するときの「撤去加算措置」が、2025年10月13日時点で、補助金申請額が予算の83%に達しています。事務局は「予算執行状況が100%に達し次第、撤去加算を含む交付申請(予約を含む)の受付を終了します」と注意を促していました。
2025年11月15日〜、東京で耳の聞こえない、聞こえにくいアスリートのための国際的なスポーツ大会「夏季デフリンピック競技大会」が開催(2025年11月26日まで)
https://www.nippon-foundation.or.jp/journal/2023/97556/diversity_and_Inclusion
2025年11月18日、ブログサービス「goo blog」のサービスを終了
https://blog.goo.ne.jp/info/close.html
2004年3月のサービス開始から21年にわたったサービスの提供を終了となる。
2025年11月20日、所得税法施行令で通勤のための自動車などの交通用具を使用している給与所得者に支給する通勤手当の非課税限度額を引き上げる。
https://www.nta.go.jp/users/gensen/2025tsukin/index.htm
2025年11月25日、ポータルサイト「gooポータル」の提供を終了
https://help.goo.ne.jp/help/article/2904/
gooは当初、NTTグループがロボット型検索エンジンとして提供を開始したもの。当時、ディレクトリ型が主流だった日本の検索市場としては先進的な試みだった。1998年にはポータルサイトへとサービスを拡大し、フリーメールの「gooメール」などのサービスも開始した。28年の歴史に幕を下ろすことになる。なお、ポータルサイトの終了に先立ち、「gooニュース」や「goo blog」「教えて!goo」などのサービスが既に提供を終了しており、gooメールは2026年2月25日にサービスを終了予定となっている。goo(グー)は、NTTドコモが運営するポータルサイトである。名称は「global network が無限大(∞)に拡大し続ける」ことに由来する。1997年3月27日開設。2025年11月25日サービス終了[1]。
2025年11月25日、goo、「いまトピ」サービス終了
https://help.goo.ne.jp/help/article/2905/
2025年11月30日、CreatorZineはをサイトの更新を停止
https://creatorzine.jp/article/detail/6939
2025年11月28日、MIXIはプリペイド決済アプリ「MIXI M」の提供を終了
https://www.itmedia.co.jp/news/articles/2507/29/news074.html
MIXI Mは、2019年に「6gram」(ロクグラム)として提供を開始。当初は招待制を導入しており、スマートフォン上で即時にプリペイドカードを発行できる手軽さや、個人間送金・グループでの残高共有といった機能で注目を集めた。21年12月には「MIXI M」へ名称変更していた。
2025年(令和7年)から12月から変わること
2026年12月からの値上げ「食品主要195社」価格改定動向調査
https://www.tdb.co.jp/report/economic/20251128-neage25y11/
2026年の値上げ、累計1044品目 今年の8割減ペース
迫る「ペットボトル200円」時代 もはや値上げはタブーではない?
https://www.asahi.com/articles/ASTCY4QFDTCYULFA00FM.html
コカ・コーラ(500ミリリットル)は2022年9月以前は140円だったが、22年10月に160円、24年10月に180円と、短期間に次々と値上げに踏み切ってきた。原材料費や容器、物流などのコスト高が続いているためだ。
消費者物価指数からみる身近な商品の値上げ動向
https://www.asahi.com/articles/ASTCY4QFDTCYULFA00FM.html
価格変動が大きい生鮮食品を除いた消費者物価指数は、今年10月まで43カ月連続で前年同月比2%以上の伸びが続く。日本がバブル経済に沸いた1989年4月~1992年12月の45カ月連続に迫る水準だ。
2025年12月〜、とんかつ和幸の全店舗で値上げを実施
https://www.logi-today.com/875719
2025年12月〜、長野電鉄が運賃を値上げへ
https://newsdig.tbs.co.jp/articles/sbc/2084551
初乗りが170円→210円 長野~須坂間は550円→680円に
2025年12月〜、スカパーJSATは光回線を使った再送信サービス「テレビ視聴サービス」の月額料金を2025年12月分から改訂し、月495円(従来330円)に値上げする。これにより「フレッツ・テレビ」の月額料金も12月から月990円(同825円)に値上げする。
https://av.watch.impress.co.jp/docs/news/2034013.html
2025年12月、「d Wi-Fi」のサービス提供をドコモ回線契約でない方のみサービス終了
https://www.docomo.ne.jp/info/news_release/2025/06/09_01.html
新たに提供開始となる機能:d Wi-Fi都度利用機能(仮称)は「d Wi-Fi」のサービス改定に伴い、新たに「d Wi-Fi都度利用機能(仮称)」を2026年度内に提供を開始いたします。
2025年12月〜、WiMAXの料金を値上げ
https://smbiz.asahi.com/article/15980748
2025年の年末調整から、基礎控除と給与所得控除の控除額が引き上げ
https://www.obc.co.jp/360/list/post461
2025年12月1日、従来の健康保険証が有効期限切れに
https://www.digital.go.jp/policies/mynumber/faq-insurance-card
健康保険証の新規発行が2024年12月2日に停止されており、発行済みの健康保険証も2025年12月までに切れることとなります。政府はマイナ保険証への切り替えか、希望しない人には資格確認書を利用することなどを呼び掛けています。
2025年12月1日、雇用保険法施行で災害特例人材確保支援コース奨励金の期限を延長する
https://public-comment.e-gov.go.jp/pcm/download?seqNo=0000302475
2025年12月〜、アンナミラーズの実店舗を東京・南青山に出店し3年ぶりに復活
https://newsdig.tbs.co.jp/articles/-/1992706?display=1アンナミラーズはアメリカに本社があり、井村屋が提携し日本で展開しています。1973年に開店した東京・青山の1号店を皮切りに関東で店舗を拡大。延べ26店舗を経営していましたが、2022年8月31日に国内最後の店舗、高輪店が品川駅の再開発のために閉店し、実店舗は無くなっていました。現在は、オンラインショップでパイなどの販売をしながら、不定期でポップアップショップを出店しています。
2025年12月9日、ニコニコ動画がショート動画に対応を配信「月刊ニコニコインフォ」で告知
https://www.itmedia.co.jp/news/articles/2511/12/news062.html【予告の予告】ニコニコ動画にショート動画機能を準備しています!詳しくは12月9日放送の月刊ニコニコインフォで! pic.twitter.com/9tRHG7YS0K
— くりたしげたか(to i)🌰ニコニコ代表の人 (@sigekun) November 11, 2025
2025年12月11日、ホンダ「スーパーカブ110」シリーズが値上げ!
https://kurukura.jp/article/88821-20251107-104/
2025年12月14日までに建設業法・公共工事適正化促進法が改正
https://keiyaku-watch.jp/media/hourei/2025-houkaisei/
建設業の担い手を確保するため、労働者の処遇改善・働き方改革・生産性向上を促すことを目的として、が行われます。
2025年12月18日、公正取引委員会はグーグルやアップルなどの大手テクノロジー企業等を規制する「スマホソフトウェア競争促進法」(スマホ新法)を施行
https://www.watch.impress.co.jp/docs/news/2014680.html
今回、公表した政令案では施行日を「12月18日」と記載しているほか、この禁止事項や遵守事項などについてのガイドラインを示している。ガイドラインでは不当に差別的な取り扱いと認定するための注意事項などが記載されている。
参考
https://dime.jp/genre/1999232/
KDDIから、ご利用中スマートフォンへの「ブラウザ」と「検索」の選択必須化のご案内
https://news.kddi.com/important/news/important_202512021711.html
2025年12月18日、スキマバイト「メルカリ ハロ」を終了
https://www.watch.impress.co.jp/docs/news/2054803.html
2025年12月27日、日本紐釦(ちゅうこう)貿易、竹尺(竹製の定規)シリーズ生産終了
https://x.com/nippon_chuko/status/2004799908604150134
竹尺の国内製造は有限会社 岡根製作所、吉田製作所の2社のようで今回は吉田製作所の廃業の影響のようです。
2025年12月30日、デンマークの郵便配達、400年の歴史に幕…郵便ポストも順次撤去
https://gigazine.net/news/20250307-postnord-stop-deiver-letter/
デンマークの郵便サービスプロバイダー「PostNord Denmark」が2025年3月6日に、従業員1500人を解雇し街中に設置された郵便ポスト1500個を撤去することを発表しました。そのほか、2025年12月30日をもって手紙の配達事業を終了することを発表しています。
2025年12月31日、社会保障協定の実施に伴う厚生年金保険法等の特例等に関する政令【施行日未定】
https://revision.sato-portal.com/250000-2/
オーストリア協定締結に伴う厚生年金の加入特例、審査請求等の手続き特例等の対象追加
2026年(令和8年)から変わること
2026年1月、食品の値上げは小規模に
https://www.tdb.co.jp/report/economic/20251226-neage25y12/
2026年、丙午(ひのえうま)が開始
https://note.com/rmogimogi/n/n683b95eace2f
「丙午(ひのえうま)年の生まれの女性は気性が激しく、夫の命を縮める」という迷信がある。これは、江戸時代の初期の「丙午の年には火災が多い」という迷信が、八百屋お七が丙午の生まれだとされたことから、女性の結婚に関する迷信に変化して広まって行ったとされる。
2026年1月、Gmail、POPのサポートを終了
https://reinc.jp/news/7191/
Gmailは2026年1月に「外部メールの取り込み(POP受信)」機能の提供を終了します。POPとは、電子メールにアクセスするための方法の一つで、ユーザーが利用している電子メール サービスに問い合わせ、新しいメッセージをダウンロードする方法です。
2026年〜、Sunoの利用規約が「所有権」から「商用利用権」の付与へと変更
https://x.com/TechTalkNAVI/status/2007064538487926823無料プランで生成した曲が個人利用・非商用利用に限定され、後から課金しても無料プラン利用中に生成した曲の商用利用ができない点は従来どおり有料プランで生成した曲について以前は「ユーザーが所有する」としていましたが、その表現が修正。有料プラン加入ユーザーには生成曲の商用利用権が付与されるものの、所有者はSunoになります。
2026年1月〜、駿台予備学校は2026年春入学の大学入試から合格者数の公表をやめると発表
https://www.kanaloco.jp/news/social/article-1195498.html「受験生が複数の塾や予備校、オンライン教材を併用して学ぶのが一般的となり、単一の教育機関の合格者数が本来の意味を持ちにくくなった」としている。
2026年1月〜、電気・ガス料金補助、一部の企業も対象
https://smbiz.asahi.com/article/16190222
政府は、2026年1~3月の冬の電気・ガス料金を支援する方針を打ち出しました。この「電気・ガス料金負担軽減支援事業」には、2025年度補正予算案として5296億円を計上しています。2人以上世帯の電力購入数やガス使用量をもとにすると、3ヵ月で7000円程度の値引きが見込まれます。電気料金は低圧契約だけでなく、高圧の契約者も対象です。都市ガス料金の支援対象は、家庭、および年間契約量が1000万㎥未満の企業等です。
・1月1日:長野県を地盤とする金融機関「八十二銀行」と「長野銀行」が合併し「八十二長野銀行」が発足予定
2026年1月〜、行政書士法が改正 補助金書類作成の制限規定が明確化
https://smbiz.asahi.com/article/15842967
改正行政書士法が2026年1月1日から施行予定です。報酬を得て補助金申請の書類作成等を行う行為への規制が明確になるなど改正の5つのポイントがあります。
2026年1月から「下請法」は「取適法(とりてきほう)」へ変更
https://www.jftc.go.jp/file/toriteki_leaflet.pdf
2026年1月〜、改正下請法が施行し手形払いを禁止・運送委託も対象取引へ
https://smbiz.asahi.com/article/15664922
下請法の改正法である中小受託取引適正化法(取適法)が2026年1月1日に施行します。サプライチェーン全体で適切な価格転嫁を定着させるようと、協議を適切に行わない代金額の決定の禁止、手形による代金の支払等の禁止などを盛り込んでいます。
2026年1月〜、下請中小企業振興法にもとづく振興基準を改正し施行
https://smbiz.asahi.com/article/16072663
中小企業庁は、下請中小企業振興法にあわせて改正した「振興基準」を2026年1月1日から施行します。振興基準は、コスト高騰下での労務費や原材料費の適切な転嫁、発注の安定化、そして不当な威圧的交渉や買いたたきの排除など、仕事の発注側(委託事業者)と、これまで「下請け」と呼ばれてきた中小受託事業者が守るべき一般的な基準を定めています。
2026年1月〜、改正労働安全衛生法が施行 業務上災害報告制度の創設
https://smbiz.asahi.com/article/15773894
労働安全衛生法の改正法は2026年1月から段階的に施行されます。1月からは個人事業者等の業務上災害が発生した場合には、災害発生状況などについて、厚生労働省に報告させることができることとしました。このほか、施行日は異なりますが、フリーランスへの労災防止やこれまで努力義務だった従業員50人未満の事業場へのストレスチェックを義務化するなど5つのポイントがあります。
・個人事業者等への安全衛生対策の推進
・ストレスチェック義務化拡大
・化学物質による健康障害防止対策等の推進
・機械等による労働災害の防止の促進等
・高齢者の労働災害防止の推進
2026年1月〜、公共建築工事積算基準を改定 鉄筋・型枠で労務費を可視化
https://smbiz.asahi.com/article/16218216
国土交通省は、公共建築工事の積算基準類を改定し、特に建築工事の基幹的な工種である鉄筋および型枠について、労務費等の内訳を把握できる積算単価(単位施工単価)を導入することを発表しました。この改定内容は、令和8年(2026年)1月以降に入札手続きを開始する官庁営繕工事に適用されます。
2026年1月〜、有資格者によるアスベスト事前調査、「工作物」も義務化
https://smbiz.asahi.com/article/16184908
アスベスト(石綿)による健康障害を防止するため、国は規制を強化してきました。建築物の解体・改修工事では、すでに有資格者による事前調査が義務付けられています。これに加え、2026年1月1日以降に着工する工事から、”工作物”の解体等の作業についても、資格を有する者によるアスベストの事前調査を実施する必要があります。
2026年1月〜、エンジェル税制、再投資期間の要件を拡充
https://smbiz.asahi.com/article/15571496
政府が閣議決定した2025年度税制改正大綱によると、2026年1月から、株式譲渡益が発生した年内にスタートアップへの投資を行う必要がある再投資期間の要件について、株式譲渡益が発生した年分の確定申告時の手続き等を前提に、株式譲渡益が発生した翌年末(最大2年間)まで延長する見通しです。
2026年1月〜、住宅ローン減税の5年延長・拡充
https://smbiz.asahi.com/article/16256677
政府は「2026年度(令和8年度)税制改正の大綱」を閣議決定し、住宅ローン減税の適用期限を2026年1月1日から5年間延長しました。このため住宅ローン減税は2030年12月31日まで利用できるようになりました。
1月4日:NHK大河ドラマ「豊臣兄弟!」放映開始予定 秀長役に仲野太賀、秀長の妻、慶の役は吉岡里帆、脚本は八津弘幸
2026年1月5日〜、貯金小切手振出料金、代金取立料金の新設
https://smbiz.asahi.com/article/15558557#inner_link_002
ゆうちょ銀行は、2026年1月5日に貯金小切手振出料金と代金取立料金を新設すると発表しています。
・貯金小切手振出料金 550円(税込)
・代金取立料金 880円(税込)
2026年1月13日〜、協会けんぽが電子申請サービスを開始
https://smbiz.asahi.com/article/16116084
協会けんぽは2026年1月13日から、現金給付申請をはじめとする健康保険の主要な手続きについて、パソコン、スマートフォンを利用して申請することができる「電子申請サービス」を開始します。事務作業の効率化に役立ちます。
2026年1月15日、Googleのダークウェブ レポートを廃止
https://x.com/enspire_co_jp/status/2000656290960515362ツールとデータは 2026 年 2 月 16 日をもってご利用いただけなくなります。
2026年1月16日〜、YouTubeの視聴データを米国Billboardチャートに提供しない
https://x.com/tsurezure_lab/status/2001478767517274481決別の理由: Billboardが「有料会員の再生」を「広告視聴(無料会員)の再生」よりも重く評価する時代遅れの計算式(outdated formula)を採用し続けているため。
・YouTubeの主張: 支払った「お金」の多寡でファンの熱量を差別すべきではない。コミュニティの巨大なエンゲージメントを過小評価するチャートは、もはや実態を反映していない。Billboardは有料会員を優遇する「お金」の論理を守ろうとし、YouTubeは全ユーザーの「時間」を等価に扱おうとしています。
・1月17日~18日:令和8年度大学入学共通テストが実施される予定
2026年1月29日、UNIQLO Payのサービスを終了
https://faq.uniqlo.com/articles/FAQ/100006473
2026年1月31日、NTT西日本は「フレッツ光」を提供していない地域でも「フレッツ・ADSL」のサービスを終了
https://www.itmedia.co.jp/news/articles/2304/21/news176.html
1月31日~2月17日:第80回国民スポーツ大会(旧国体)「青の煌めきあおもり国スポ冬季大会」が青森県で開催予定
2月6~22日:ミラノ・コルティナ冬季五輪
2月8日:タイ総選挙
千葉県浦安市の東京ディズニーリゾート徒歩圏内にロイヤルパークホテルズが運営する客室数750室の新ホテル「(仮称)舞浜ホテル計画」が開業予定
2026年2月19日、Amazon Chimeのサービス終了
https://www.watch.impress.co.jp/docs/news/1664710.html
2026年2月25日、gooメールのサービスを終了
https://help.goo.ne.jp/help/article/2890/
1998年のgooフリーメールの提供開始から28年の歴史に幕を閉じる
2026年2月28日、ソニーのスマートウォッチ「wena 3」を終了
https://www.watch.impress.co.jp/docs/news/1646031.html
wena 3は、腕時計のバックル部分にスマート機能を集約したスマートウォッチで、2020年11月27日発売。単体でもスマートウォッチとして動作するほか、別売のヘッド(時計部分)に取り付けることで、好みの腕時計と組み合わせることが可能だった。
2026年3月1日、女子サッカー国際大会「女子アジアカップ2026」がオーストラリアで開催予定、2027年開催「FIFA女子ワールドカップ2027ブラジル大会」の予選を兼ね上位5カ国が出場権を獲得する
3月5~17日:ワールドベースボールクラシック
2026年3月でスーパー戦隊シリーズを終了へ ゴレンジャーから半世紀で幕
https://www.asahi.com/articles/ASTBZ3TYRTBZUCVL045M.html
2026年3月、日本郵便は、デジタルメッセージサービス「MyPost(マイポスト)」を2026年3月で終了
https://netshop.impress.co.jp/node/14256
「MyPost」は日本郵便が2016年から展開している「インターネット上の郵便受け」で、エンドユーザーが会員登録し、官公庁や企業の差出人が会員本人とメッセージをやり取りすることができるクラウドサービス。会員は自身が選択した差出人からのメッセージのみを受け取り、クラウド上で長期保管できた。サービス開始時には会津若松市や関西電力、ビックカメラ、三井住友信託銀行などが差出人として名を連ねていた。
2026年3月31日、NTTドコモの3G対応終了予定
https://dot.asahi.com/wa/2021060900031.html?page=1
2026年3月、NTT東日本と西日本は、店舗や企業の紙の電話帳「タウンページ」の発行を終了
https://www.ntt-east.co.jp/release/detail/20240719_01.html
2026年3月30日、オンライン学習サービス『スタディサプリ大学受験講座』のコースのひとつである「合格特訓コース」の提供を終了
https://www.recruit.co.jp/newsroom/pressrelease/2025/0602_15644.html
2026年3月末、NTT東日本と西日本は、個人や店舗などの名前と住所から、電話番号を有料で案内する「104」のサービスを終了
https://www.ntt-east.co.jp/release/detail/20240719_01.html
2026年3月末、「taspo」終了へ 使用する通信回線のサービス終了に伴い
https://www.itmedia.co.jp/news/articles/2110/08/news153.html
2026年3月31日、ドコモ、3G携帯「FOMA」と「iモード」をサービス終了
https://www.docomo.ne.jp/info/news_release/2024/03/21_01.html
2026年3月31日、「NHKラジオ第2」が放送を終了
https://dime.jp/genre/2056173/
1931年に始まり95年間、教育・語学番組を中心に親しまれてきたNHKラジオ第2放送が、2026年3月31日をもって廃止されます。これは経営改善と時代の変化によるもので、NHKラジオは新AM・新FMの2波体制に移行します。リスナー、特に学習者への影響は大きいですが、今後は新FMで語学・学びの番組が提供され、ネット配信も含めた「NHKサウンドメディア」として再編されます。
2026年7月31日、はまPayのタッチ決済サービス(横浜銀行)を終了
https://www.boy.co.jp/kojin/hamapay/service-end/index.html
2026年12月20日、はまPay・請求書払い・ことら送金(横浜銀行)のサービスを終了
https://www.boy.co.jp/kojin/hamapay/service-end/index.html
2026年12月20日、OKI Pay(沖縄銀行)サービス終了
https://www.okinawa-bank.co.jp/kojin/shohin_service/okipay/service_end_notice.html
2026年12月20日、こい Pay(広島銀行)サービス終了
https://www.hirogin.co.jp/ir/news/paper/news251215.pdf
2026年12月20日、スマホ決済サービス「YOKA!Pay」(福岡銀行)終了
https://www.fukuokabank.co.jp/yokapay_close/
2026年12月20日、スマホ決済サービス「ゆうちょPay」のサービス終了
https://www.jp-bank.japanpost.jp/aboutus/press/2025/abt_prs_id002028.html
2025年度末まで、ANA国際線の機内Wi-Fi、YouTubeやNetflixが見られるほど高速化–全クラス無料
https://japan.cnet.com/article/35236361/
全日本空輸(ANA)は8月5日、国際線の全クラスで高速機内Wi-Fiサービスの無料提供をB767-300ER(202席仕様・JA625A)より順次開始したと発表した。米国の衛星通信会社Viasat社の最新システムを採用し、YouTubeやNetflixといったストリーミング配信による動画視聴も可能になる。ANAでは2025年度末までに3機のB767-300ER(202席仕様)の改修を完了し、2026年度中にはB767-300ER全6機で高速機内Wi-Fiサービスを提供する。さらに、2026年度以降はB777-9長距離仕様18機、B787-9長距離仕様の19機へ拡大予定だ。
2026年4月1日〜、警察庁は道路交通法改定において自転車の反則金、スマホながら運転で1.2万円など改正
https://www.watch.impress.co.jp/docs/news/2010052.html
法改正では、主に自転車の違反行為について、青切符による反則金が定められるほか、自動車ドライバーが自転車の側方を通過する際に、安全な距離を保たなかった場合にも減点や反則金が適用されるようになる。反則金は自動車やオートバイなどでも反則行為となっている違反は同水準の金額となっている。
- 携帯電話・スマホを使用しながら運転:12,000円
- 遮断機が下りている踏切への立ち入り:7,000円
- 信号無視:6,000円
- 逆走・歩道通行などの通行区分違反:6,000円
- 一時不停止:5,000円
- ブレーキ不良:5,000円
- 傘差し運転・イヤホン着用運転など都道府県公安委員会の規定違反:5,000円
- 無灯火:5,000円
- 並走禁止違反(2台以上で並んで走行):3,000円
- 2人乗り:3,000円
警察庁では、法改正に関するパブリックコメットを2025年4月25日~5月24日まで募集する。募集は電子政府の総合窓口「e-Gov」のパブリックコメント意見提出フォームや電子メールなどで募集するほか郵送も受け付ける。電話での受付は行なわない。
2026年4月〜、自転車追い抜きに自動車が徐行が義務へ
4月:子育て支援金、法人増税、たばこ増税
2026年4月〜、チキンラーメンやカップヌードルを5~11%値上げ
https://news.livedoor.com/article/detail/30127521/
主要なカップ麺や袋麺の値上げは2023年6月以来、約3年ぶり。一部の袋麺や即席カップライスは来年4月から内容量を7~17%減らす「実質値上げ」を実施する。麺を揚げる際に使うパーム油やカップライス向けのコメといった原材料のほか、物流費などの上昇が要因という。「カップヌードル」のレギュラーサイズは254円から267円に、「チキンラーメン 5食パック」は734円から788円に改定する。
2026年4月、公益信託を使いやすくする法律を施行へ 担い手の範囲拡大
https://smbiz.asahi.com/article/15282758
4月:米中首脳会談?
トランプ大統領は、習近平国家主席の招待を受けて4月に中国を訪問する予定です。トランプ大統領は、就任当初は中国への関税政策で強硬姿勢を見せたものの、10月末には追加関税の引き下げを決定し、最近では「米中関係は極めて強固」と発言するなどやや中国寄りの姿勢も見せつつあります。
5月15日:パウエルFRB議長任期満了
2018年2月から米連邦準備制度理事会(FRB)議長を務めてきたパウエル氏が5月に議長を退任する予定です(理事としての任期は2028年1月31日まで)。後任には、トランプ大統領に近いとされる利下げ積極派(ハト派)の理事が選出されるとの見方が有力です。
2026年5月31日、Workplace from Metaのサービスを終了
https://forwork.meta.com/jp/meta-workplace/
- 2025年8月31日まで: Workplaceはこれまで通りご利用いただけます。
- 2025年9月1日~2026年5月31日: 既存データの読み込みとダウンロードのみご利用いただけます。
- 2026年6月1日: Workplaceにアクセスできなくなり、Workplaceは削除されます。
6月11日~7月19日:FIFAワールドカップ2026
米国、カナダ、メキシコの三カ国で、史上初の48カ国参加となるサッカーのワールドカップが開催されます。過去4回グループステージを突破した日本代表は、「ベスト16の壁」を突破することができるのでしょうか。日本代表はグループステージで、オランダ、チュニジアの他、プレーオフB(ウクライナ、スウェーデン、ポーランド、アルバニア)の勝者と対戦します。
2026年8月までにシャープは亀山第2工場を鴻海(ホンハイ)に譲渡 今期26%減益予想
https://jp.reuters.com/markets/world-indices/PE64HFWG4NKUPGUFMK3ZJ3JIOI-2025-05-12/
シャープは、2025年1-3月期に特別損失487億円を計上したと発表した。液晶パネルを生産する亀山工場(三重県亀山市)のうち第2工場を26年8月までに親会社である台湾の鴻海(ホンハイ)精密工業に譲渡することも発表した。
2026年9月〜、「生活道路」の法定速度を時速60キロから30キロに引き下げ
https://www.keishicho.metro.tokyo.lg.jp/kotsu/doro/Residential_roads.html
2026年11月2日、「PlayStation Stars」のサービスを完全に終了
https://www.itmedia.co.jp/news/articles/2505/22/news186.html
ソニー・インタラクティブエンタテインメント(SIE)は、ユーザー向けロイヤリティプログラム「PlayStation Stars」をサービス終了すると発表した。サービスは段階的に縮小し、2026年11月2日に終了する。5月22日をもってメンバー新規の登録は終了。既存メンバーも7月24日以降はリワードやステータス特典の獲得ができなくなる。2026年11月2日には完全にサービスを終了する。
2026年12月〜、イベントデータレコーダーを新型の大型車に義務化
https://smbiz.asahi.com/article/15316480
2026年、リース会計基準を改正 変更点や企業がすべき準備を解説
https://smbiz.asahi.com/article/15047776
2027年3月30日、ソニーは「Video & TV SideView」アプリ サービス終了
https://www.sony.jp/support/software/videotvsideview/2025/09/20250902.html
2028年4月、遺族厚生年金の見直し
https://www.mhlw.go.jp/stf/seisakunitsuite/bunya/0000147284_00020.html
2030年から2050年までに内閣府が掲げるムーンショット計画を実現すると発表
https://www8.cao.go.jp/cstp/moonshot/
目標1:人が身体、脳、空間、時間の制約から解放された社会を実現
目標2:超早期に疾患の予測・予防をすることができる社会を実現
目標3:AIとロボットの共進化により、自ら学習・行動し人と共生するロボットを実現
目標4:地球環境再生に向けた持続可能な資源循環を実現
目標5:未利用の生物機能等のフル活用により、地球規模でムリ・ムダのない持続的な食料供給産業を創出
目標6:経済・産業・安全保障を飛躍的に発展させる誤り耐性型汎用量子コンピュータを実現
目標7:主要な疾患を予防・克服し100歳まで健康不安なく人生を楽しむためのサスティナブルな医療・介護システムを実現
目標8:激甚化しつつある台風や豪雨を制御し極端風水害の脅威から解放された安全安心な社会を実現
目標9:こころの安らぎや活力を増大することで、精神的に豊かで躍動的な社会を実現
目標1~6は2020年1月、目標7は2020年7月、目標8、9は2021年9月に決定しています。
高速道路、有料2115年まで 半永久化へ改正法成立
https://nordot.app/1036456987898626142?c=110564226228225532
2025年1月から変わること・終わること・起こること
2025年1月の変化と注目ニュースが取り上げられ、楽天トラベルの宿泊数が13か月連続で前年同月比マイナスとなるなど、旅行業界の課題が指摘されました。また、団塊世代が75歳以上になる「2025年問題」が社会に影響を与え、新聞解約や高齢者の再雇用が課題として挙げられました。アメリカ大統領の就任や各種値上げ、新サービスの開始なども注目されています。これらの変化がビジネスや社会に与える影響が分析されています。

1. 2025年の大きなテーマ:2025年問題
1.1 団塊の世代が後期高齢者に
2025年は、いわゆる「2025年問題」が現実のものとなる年です。この問題の核心は、1947年から1949年に生まれた「団塊の世代」が75歳以上、つまり後期高齢者になることにあります。この世代は日本の人口構成において大きな比率を占めており、彼らが後期高齢者になることで社会に多大な影響を及ぼすことが予想されます。
1.1.1 団塊の世代と高齢者の影響
団塊の世代が後期高齢者になることで、社会の様々な側面に変化が現れます。例えば、新聞の解約増加が挙げられます。高齢化に伴い、視力の低下やデジタルデバイスへの移行などにより、紙媒体の新聞を購読する高齢者が減少すると考えられます。これは、新聞業界にとって大きな打撃となるでしょう。
また、高齢者の再雇用問題も深刻化するでしょう。定年退職後も働き続ける高齢者が増える一方で、企業側が彼らをどのように受け入れ、活用していくかが課題となります。高齢者の経験や知識を活かしつつ、健康状態や体力に配慮した働き方を実現することが求められます。これには、企業側の意識改革や制度整備が不可欠であり、社会全体で取り組むべき重要なテーマと言えます。
1.2 高齢化の加速
2025年以降、日本の高齢化はさらに加速します。高齢化率(総人口に占める65歳以上人口の割合)は上昇を続け、2025年には約30%に達すると予測されています。これは、3人に1人が高齢者という社会を意味します。
1.2.1 医療や介護の需要増加
高齢化の進行に伴い、医療や介護の需要が急増します。高齢者は若年層に比べて病気や怪我のリスクが高く、医療機関を利用する頻度も高くなります。また、加齢に伴い日常生活に支援が必要となる高齢者も増えるため、介護サービスの需要も拡大します。これにより、医療・介護業界の人手不足がさらに深刻化し、サービスの質の低下や提供体制の崩壊が懸念されます。
さらに、高齢化は社会保障制度への負担増大をもたらします。医療費や介護費、年金給付などの社会保障給付費は増加の一途をたどり、現役世代の負担はますます重くなります。このままでは、社会保障制度の持続可能性が危ぶまれる状況です。そのため、社会保障制度の改革や、高齢者の健康寿命の延伸、医療・介護の効率化など、多角的な対策が急務となっています。
2. 2025年1月からの主な変化
2.1 終了するサービスやサポート
2025年1月からは、様々なサービスやサポートが終了します。これらの変更は、私たちの生活に少なからず影響を与えるでしょう。
2.1.1 東レキャンペーンガールの終了
東レキャンペーンガールは、長年にわたり東レの顔として活躍してきましたが、2024年末でその歴史に幕を閉じます。時代の変化とともに、キャンペーンガールの役割や意義も見直され、その役割を終えることとなりました。
2.1.2 GoogleのJamboardアプリケーションのサポート終了
GoogleのデジタルホワイトボードアプリケーションであるJamboardのサポートが終了します。Jamboardは、教育現場やビジネスシーンで広く利用されてきましたが、今後は代替サービスへの移行が必要となります。Googleは、ユーザーがスムーズに移行できるよう、情報提供やサポートを行うとしています。
2.1.3 Microsoft「Windowsメール」のサポート終了
Microsoftの「Windowsメール」のサポートも終了します。長年Windowsに標準搭載されてきたメールソフトですが、今後はOutlookなどの代替アプリケーションへの移行が推奨されます。セキュリティリスクを避けるためにも、早めの移行が重要です。
2.1.4 フレッツ・ADSLサービスの終了
フレッツ・ADSLサービスは、2025年1月31日をもって終了となります。これは、光回線への移行が進んだことによるものです。ADSLを利用しているユーザーは、光回線などの高速インターネットサービスへの切り替えを検討する必要があります。
2.1.5 東京・中日スポーツの紙印刷休止
東京・中日スポーツは、紙媒体の印刷を休止し、電子版への全面移行を行います。これは、新聞業界全体のデジタル化の流れを反映したものです。紙媒体の新聞を購読している読者は、電子版への移行を検討する必要があります。
2.1.6 JR東海のドクターイエロー検査走行終了
新幹線の線路や架線の状態を検査するドクターイエローの検査走行が終了します。今後は、新しい検査技術を用いた車両に置き換えられる予定です。ドクターイエローは、その黄色い車体から多くの鉄道ファンに親しまれてきただけに、惜しまれる声も多く聞かれます。
2.2 新たに始まること
一方で、2025年1月からは新しい取り組みも始まります。これらは、教育、交通、政治、経済など、様々な分野に影響を与えるものです。
2.2.1 大学入学共通テストに「情報」科目が追加
大学入学共通テストに「情報」科目が追加されます。これは、情報化社会に対応できる人材を育成するための重要な一歩です。学生は、プログラミングやデータサイエンスなどの基礎的な知識を身につけることが求められます。教育現場では、「情報」科目の指導体制の整備が急務となっています。
2.2.2 大阪メトロ中央線の新区間開業
大阪メトロ中央線の新区間、コスモスクエアから夢島間が開業します。これは、2025年大阪・関西万博へのアクセスを向上させるためのものです。夢洲は万博会場となる予定であり、この新路線の開業により、多くの来場者の利便性が向上することが期待されます。
2.2.3 アメリカ大統領就任式
アメリカ大統領就任式が行われ、共和党候補のドナルド・トランプ氏が再び大統領に就任する可能性が濃厚とされています。トランプ政権の発足は、アメリカ国内だけでなく、国際情勢にも大きな影響を与えることが予想されます。今後のアメリカの政策や動向に注目が集まります。
2.2.4 ガソリン補助率の変更
政府によるガソリン価格抑制のための補助金の補助率が変更されます。これは、原油価格の動向や財政状況などを考慮して決定されるものです。補助率の変更は、ガソリン価格に直接影響を与えるため、私たちの生活にも影響を及ぼす可能性があります。
3. 注目の経済・技術動向
3.1 NTTの「IOWN 2.0」商用サービス開始
2025年1月、NTTは革新的なネットワーク構想である「IOWN 2.0」の商用サービスを開始します。IOWN(Innovative Optical and Wireless Network)は、光技術をベースとした高速・大容量・低遅延のネットワークを実現する構想です。
3.1.1 IOWN 2.0の影響
IOWN 2.0の商用サービス開始により、通信速度や効率が飛躍的に向上することが期待されます。例えば、遠隔医療や自動運転、スマートシティなどの分野で、より高度なサービスの実現が可能となります。また、電力消費量の削減にも貢献するため、環境問題への対策としても注目されています。IOWNは、私たちの生活や社会を大きく変える可能性を秘めた技術と言えるでしょう。
3.2 デジタル課税の導入(ニュージーランド)
ニュージーランドでは、2025年1月からデジタルサービス課税が導入されます。これは、主にグローバルに事業を展開する巨大IT企業を対象としたものです。
3.2.1 多国籍企業への税負担増加
デジタルサービス課税の導入により、多国籍企業の税負担が増加します。これまで、これらの企業は、物理的な拠点がなければ課税されないという税制の抜け穴を利用して、税負担を軽減してきました。デジタル課税は、こうした状況を是正し、デジタル経済における公平な課税を実現することを目的としています。この動きは、他の国々にも波及する可能性があり、国際的な税制のあり方に大きな影響を与えることが予想されます。
4. その他の注目トピック
4.1 Meta Sparkの終了
Metaが提供するAR開発プラットフォームであるMeta Sparkは、2025年1月14日をもって終了となります。
4.1.1 Meta Sparkの影響
Meta Sparkの終了は、ARコンテンツ開発に影響を与えるでしょう。Meta Sparkを利用してARエフェクトや体験を開発していたクリエイターは、他のプラットフォームへの移行を余儀なくされます。Metaは、移行を支援するための情報提供やツールを提供していますが、クリエイターにとっては大きな負担となることが予想されます。
4.2 介護事業者の経営情報報告の義務化
2025年4月から、全ての介護事業者に経営情報の報告が義務化されます。
4.2.1 経営情報報告の義務化
経営情報報告の義務化は、介護事業者の経営状況の透明性を高め、利用者が安心してサービスを選択できるようにするためのものです。また、経営状況を把握することで、経営悪化や倒産のリスクを早期に発見し、必要な支援を行うことも目的としています。これにより、経営破綻リスクの減少が期待されます。
4.3 労働安全衛生規則や厚生年金保険法の改正
2025年4月には、労働安全衛生規則や厚生年金保険法の改正も予定されています。
4.3.1 労働環境や年金制度への影響
労働安全衛生規則の改正は、労働環境の改善を目的としています。具体的な改正内容はまだ明らかになっていませんが、労働者の安全と健康を守るための新たな規制が導入される可能性があります。また、厚生年金保険法の改正は、年金制度の持続可能性を高めるためのものです。高齢化の進展に伴い、年金制度の改革は喫緊の課題となっており、今回の改正がどのような内容となるか注目されます。
5. まとめ
5.1 2025年問題や技術革新への対応
2025年は、2025年問題が現実のものとなり、社会保障制度や労働環境に大きな変化が訪れる年です。また、IOWN 2.0の商用サービス開始やデジタル課税の導入など、技術革新や国際的な経済動向の変化も見逃せません。
5.1.1 個人やビジネスへの影響
これらの変化は、個人やビジネスに大きな影響を与えることが予想されます。私たちは、これらの変化を正確に理解し、早めに準備を進めることが重要です。例えば、高齢化社会に対応したビジネスモデルの構築や、デジタル技術を活用した業務効率化などが求められます。また、個人としても、将来のライフプランを見直し、必要な知識やスキルを身につけることが重要です。2025年は、まさに変革の年となるでしょう。私たちは、この変化をチャンスと捉え、積極的に対応していくことが求められています。

2025年から変わること:社会・経済の重要な変化と対策
- はじめに
- 楽天トラベルの最新動向と分析
- 2024年12月末での終了サービス
- 2025年の主要な社会変化
- 2025年1月からの具体的な変更点
- おわりに
- よくある質問(Q&A)
はじめに
2025年を迎え、私たちの社会は大きな転換期を迎えようとしています。団塊の世代が全員75歳以上となる「2025年問題」、デジタル化の加速、そして様々な制度変更など、私たちの生活に直接影響を与える変化が多数予定されています。このブログでは、2025年に起こる主要な変更点について、具体的なデータと実例を交えながら、詳しく解説していきます。特に、ビジネスや生活への影響が大きいと思われる項目を中心に、その背景や対策までを包括的に説明していきます。今回の内容は、今後の経営戦略や生活設計を考える上で、重要な指針となるはずです。
楽天トラベルの最新動向と分析
楽天トラベルの最新データによると、2024年12月の宿泊数は665万泊を記録し、前年同月比でマイナスとなりました。特筆すべき点として、以下の傾向が見られます:
- 登録宿泊施設数:4万3,320施設(過去最高を更新)
- 予約数:前年同月比でマイナス傾向が13ヶ月連続
- 2025年1月の予測:約720万泊(前年739万泊からの減少見込み)
この数値からは、コロナ禍からの回復が期待されたものの、宿泊業界における構造的な課題が浮き彫りとなっています。
2024年12月末での終了サービス
2024年末に終了した主要なサービスには以下が含まれます:
- 東レキャンペーンガールの終了
- DeNAのAnycaサービスの終了
- GoogleのJamboardアプリケーションのサポート終了
- Microsoft「Windowsメール」のサポート終了
2025年の主要な社会変化
2025年問題と高齢化の加速
2025年は、団塊の世代が全員75歳以上となる重要な転換点です。日本の人口の約5人に1人が後期高齢者となることで、以下のような社会変化が予想されます:
- 新聞購読率の急速な低下
- 高齢者の再雇用ニーズの増加
- 社会保障制度への影響
働き方改革と収入制限の変更
- 106万円の壁が70万円に引き下げられる可能性
- 社会保険料の見直し
- 労働安全衛生規則の改正
テクノロジーとインフラの進化
- NTTのIOWN2.0の商用サービス開始
- デジタルサービスへの新たな課税制度
- 大学入学共通テストでの「情報」科目の追加
2025年1月からの具体的な変更点
1月上旬の変更
- ノジマによるVAIO買収(1月6日)
- ガソリン補助率の変更(1月16日):168円から17円以下の部分は補助率30%から0%へ
1月中旬の重要イベント
- アメリカ大統領就任式(1月20日):約300の大統領令発令予定
- 大阪メトロ中央線の新区間開業
1月末の変更点
- フレッツ・ADSLサービスの一部終了(1月31日)
- 東京・中日スポーツの紙媒体印刷休止
- JR東海ドクターイエローの検査走行終了
おわりに
2025年は、デジタル化の加速、高齢化社会の本格化、そして様々な制度変更が重なる重要な年となります。これらの変化は、私たちの生活やビジネスに大きな影響を与えることが予想されます。特に、「2025年問題」を中心とした社会構造の変化は、企業の経営戦略から個人の生活設計まで、幅広い領域での対応が必要となってきます。今後も継続的に情報をアップデートし、変化に適応していくことが重要です。
よくある質問(Q&A)
Q1: 2025年問題による具体的な影響は?
A1: 医療・介護需要の増加、労働力不足の深刻化、社会保障費の増大などが予想されます。
Q2: ガソリン価格の変更は生活にどう影響する?
A2: 補助率の引き下げにより、実質的な燃料費の上昇が見込まれます。1月16日以前の給油がお得です。
Q3: 新しい大学入試科目「情報」への対策は?
A3: プログラミングや情報セキュリティなど、情報リテラシー全般の学習が必要となります。
Q4: 労働関連の法改正で注意すべき点は?
A4: 収入制限の緩和や社会保険料の変更に伴い、就業規則の見直しが必要になる可能性があります。
Q5: デジタル化への対応はどうすべき?
A5: 新聞の電子版移行やIOWN2.0の開始など、デジタルサービスへの移行を意識した準備が重要です。
2025年(令和7年)1月から変わること・終わること・始まること
超要約1分ショート動画コチラ↓
https://www.youtube.com/shorts/UEe2cs5pXFs
📊 楽天トラベル宿泊数
13か月連続で前年同月比がマイナス。旅行業界の需要回復に課題があります。
🕰 2025年問題
団塊世代が75歳以上となり、高齢化の加速による経済・社会への影響が懸念されています。
📉 新聞解約の加速
高齢者層の新聞解約が進むことで、新聞業界がさらなる収益減に直面しています。
💼 再雇用の重要性
75歳以上の高齢者の再雇用が、労働市場の課題として浮上しています。
📈 値上げトレンド
ガソリンや食品など、多くの値上げニュースが2025年の注目トピックとなっています。
🌐 アメリカ大統領就任
1月20日のアメリカ大統領就任式が世界の政策に大きな影響を与える可能性があります。
🖥 デジタルサービスの課税
ニュージーランドが2025年からデジタル課税を開始し、他国への影響も注目されています。
📚 大学入試の変化
2025年から大学入試共通テストに「情報」が加わり、教育の方向性が変化しています。
🛠 NTT IOWN 2.0
高速通信技術「IOWN」の商用化が2025年に開始予定で、通信分野の進化が期待されています。
🚇 大阪メトロの新路線
大阪万博に向けた新路線が開業し、地域経済や観光業への貢献が見込まれます。





















































































































































